Skip to ContentGo to accessibility pageKeyboard shortcuts menu
OpenStax Logo
Algebra and Trigonometry 2e

5.5 Zeros of Polynomial Functions

Algebra and Trigonometry 2e5.5 Zeros of Polynomial Functions
Search for key terms or text.

Learning Objectives

In this section, you will:

  • Evaluate a polynomial using the Remainder Theorem.
  • Use the Factor Theorem to solve a polynomial equation.
  • Use the Rational Zero Theorem to find rational zeros.
  • Find zeros of a polynomial function.
  • Use the Linear Factorization Theorem to find polynomials with given zeros.
  • Use Descartes’ Rule of Signs.
  • Solve real-world applications of polynomial equations

A new bakery offers decorated, multi-tiered cakes for display and cutting at Quinceañera and wedding celebrations, as well as sheet cakes to serve most of the guests. The bakery wants the volume of a small sheet cake to be 351 cubic inches. The cake is in the shape of a rectangular solid. They want the length of the cake to be four inches longer than the width of the cake and the height of the cake to be one-third of the width. What should the dimensions of the cake pan be?

This problem can be solved by writing a cubic function and solving a cubic equation for the volume of the cake. In this section, we will discuss a variety of tools for writing polynomial functions and solving polynomial equations.

Evaluating a Polynomial Using the Remainder Theorem

In the last section, we learned how to divide polynomials. We can now use polynomial division to evaluate polynomials using the Remainder Theorem. If the polynomial is divided by xk, xk, the remainder may be found quickly by evaluating the polynomial function at k, k, that is, f( k ) f( k ) Let’s walk through the proof of the theorem.

Recall that the Division Algorithm states that, given a polynomial dividend f(x) f(x) and a non-zero polynomial divisor d(x) d(x), there exist unique polynomials q(x) q(x) and r(x) r(x) such that

f(x)=d(x)q(x)+r(x) f(x)=d(x)q(x)+r(x)

and either r(x)=0 r(x)=0 or the degree of r(x) r(x) is less than the degree of d(x) d(x). In practice divisors, d(x) d(x) will have degrees less than or equal to the degree of f(x) f(x). If the divisor, d(x), d(x), is xk, xk, this takes the form

f(x)=(xk)q(x)+r f(x)=(xk)q(x)+r

Since the divisor xk xk is linear, the remainder will be a constant, r. r. And, if we evaluate this for x=k, x=k, we have

f(k) = (kk)q(k)+r = 0q(k)+r = r f(k) = (kk)q(k)+r = 0q(k)+r = r

In other words, f(k) f(k) is the remainder obtained by dividing f(x) f(x) by xk. xk.

The Remainder Theorem

If a polynomial f(x) f(x) is divided by xk, xk, then the remainder is the value f(k). f(k).

How To

Given a polynomial function f, f, evaluate f( x ) f( x ) at x=k x=k using the Remainder Theorem.

  1. Use synthetic division to divide the polynomial by xk. xk.
  2. The remainder is the value f(k). f(k).

Example 1

Using the Remainder Theorem to Evaluate a Polynomial

Use the Remainder Theorem to evaluate f(x)=6 x 4 x 3 15 x 2 +2x7 f(x)=6 x 4 x 3 15 x 2 +2x7 at x=2. x=2.

Analysis

We can check our answer by evaluating f(2). f(2).

f(x) = 6 x 4 x 3 15 x 2 +2x7 f(2) = 6 (2) 4 (2) 3 15 (2) 2 +2(2)7 = 25 f(x) = 6 x 4 x 3 15 x 2 +2x7 f(2) = 6 (2) 4 (2) 3 15 (2) 2 +2(2)7 = 25

Try It #1

Use the Remainder Theorem to evaluate f(x)=2 x 5 3 x 4 9 x 3 +8 x 2 +2 f(x)=2 x 5 3 x 4 9 x 3 +8 x 2 +2 at x=3. x=3.

Using the Factor Theorem to Solve a Polynomial Equation

The Factor Theorem is another theorem that helps us analyze polynomial equations. It tells us how the zeros of a polynomial are related to the factors. Recall that the Division Algorithm.

f(x)=(xk)q(x)+r f(x)=(xk)q(x)+r

If k k is a zero, then the remainder r r is f(k)=0 f(k)=0 and f(x)=(xk)q(x)+0 f(x)=(xk)q(x)+0 or f(x)=(xk)q(x). f(x)=(xk)q(x).

Notice, written in this form, xk xk is a factor of f(x). f(x). We can conclude if k k is a zero of f(x), f(x), then xk xk is a factor of f(x). f(x).

Similarly, if xk xk is a factor of f(x), f(x), then the remainder of the Division Algorithm f(x)=(xk)q(x)+r f(x)=(xk)q(x)+r is 0. This tells us that k k is a zero.

This pair of implications is the Factor Theorem. As we will soon see, a polynomial of degree n n in the complex number system will have n n zeros. We can use the Factor Theorem to completely factor a polynomial into the product of n n factors. Once the polynomial has been completely factored, we can easily determine the zeros of the polynomial.

The Factor Theorem

According to the Factor Theorem, k k is a zero of f(x) f(x) if and only if (xk) (xk) is a factor of f(x). f(x).

How To

Given a factor and a third-degree polynomial, use the Factor Theorem to factor the polynomial.

  1. Use synthetic division to divide the polynomial by (xk). (xk).
  2. Confirm that the remainder is 0.
  3. Write the polynomial as the product of (xk) (xk) and the quadratic quotient.
  4. If possible, factor the quadratic.
  5. Write the polynomial as the product of factors.

Example 2

Using the Factor Theorem to Find the Zeros of a Polynomial Expression

Show that (x+2) (x+2) is a factor of x 3 6 x 2 x+30. x 3 6 x 2 x+30. Find the remaining factors. Use the factors to determine the zeros of the polynomial.

Try It #2

Use the Factor Theorem to find the zeros of f(x)= x 3 +4 x 2 4x16 f(x)= x 3 +4 x 2 4x16 given that (x2) (x2) is a factor of the polynomial.

Using the Rational Zero Theorem to Find Rational Zeros

Another use for the Remainder Theorem is to test whether a rational number is a zero for a given polynomial. But first we need a pool of rational numbers to test. The Rational Zero Theorem helps us to narrow down the number of possible rational zeros using the ratio of the factors of the constant term and factors of the leading coefficient of the polynomial

Consider a quadratic function with two zeros, x= 2 5 x= 2 5 and x= 3 4 . x= 3 4 . By the Factor Theorem, these zeros have factors associated with them. Let us set each factor equal to 0, and then construct the original quadratic function absent its stretching factor.

Notice that two of the factors of the constant term, 6, are the two numerators from the original rational roots: 2 and 3. Similarly, two of the factors from the leading coefficient, 20, are the two denominators from the original rational roots: 5 and 4.

We can infer that the numerators of the rational roots will always be factors of the constant term and the denominators will be factors of the leading coefficient. This is the essence of the Rational Zero Theorem; it is a means to give us a pool of possible rational zeros.

The Rational Zero Theorem

The Rational Zero Theorem states that, if the polynomial f(x)= a n x n + a n1 x n1 +...+ a 1 x+ a 0 f(x)= a n x n + a n1 x n1 +...+ a 1 x+ a 0 has integer coefficients an0an0, then every rational zero of f(x) f(x) has the form p q p q where p p is a factor of the constant term a 0 a 0 and q q is a factor of the leading coefficient a n . a n .

When the leading coefficient is 1, the possible rational zeros are the factors of the constant term.

How To

Given a polynomial function f(x), f(x), use the Rational Zero Theorem to find rational zeros.

  1. Determine all factors of the constant term and all factors of the leading coefficient.
  2. Determine all possible values of p q , p q , where p p is a factor of the constant term and q q is a factor of the leading coefficient. Be sure to include both positive and negative candidates.
  3. Determine which possible zeros are actual zeros by evaluating each case of f( p q ). f( p q ).

Example 3

Listing All Possible Rational Zeros

List all possible rational zeros of f(x)=2 x 4 5 x 3 + x 2 4. f(x)=2 x 4 5 x 3 + x 2 4.

Example 4

Using the Rational Zero Theorem to Find Rational Zeros

Use the Rational Zero Theorem to find the rational zeros of f(x)=2 x 3 + x 2 4x+1. f(x)=2 x 3 + x 2 4x+1.

Try It #3

Use the Rational Zero Theorem to find the rational zeros of f(x)= x 3 5 x 2 +2x+1. f(x)= x 3 5 x 2 +2x+1.

Finding the Zeros of Polynomial Functions

The Rational Zero Theorem helps us to narrow down the list of possible rational zeros for a polynomial function. Once we have done this, we can use synthetic division repeatedly to determine all of the zeros of a polynomial function.

How To

Given a polynomial function f, f, use synthetic division to find its zeros.

  1. Use the Rational Zero Theorem to list all possible rational zeros of the function.
  2. Use synthetic division to evaluate a given possible zero by synthetically dividing the candidate into the polynomial. If the remainder is 0, the candidate is a zero. If the remainder is not zero, discard the candidate.
  3. Repeat step two using the quotient found with synthetic division. If possible, continue until the quotient is a quadratic.
  4. Find the zeros of the quadratic function. Two possible methods for solving quadratics are factoring and using the quadratic formula.

Example 5

Finding the Zeros of a Polynomial Function with Repeated Real Zeros

Find the zeros of f(x)=4 x 3 3x1. f(x)=4 x 3 3x1.

Analysis

Look at the graph of the function f f in Figure 1. Notice, at x=0.5, x=0.5, the graph bounces off the x-axis, indicating the even multiplicity (2,4,6…) for the zero 0.5. 0.5. At x=1, x=1, the graph crosses the x-axis, indicating the odd multiplicity (1,3,5…) for the zero x=1. x=1.

Graph of a polynomial that have its local maximum at (-0.5, 0) labeled as “Bounce” and its x-intercept at (1, 0) labeled, “Cross”.
Figure 1

Using the Fundamental Theorem of Algebra

Now that we can find rational zeros for a polynomial function, we will look at a theorem that discusses the number of complex zeros of a polynomial function. The Fundamental Theorem of Algebra tells us that every polynomial function has at least one complex zero. This theorem forms the foundation for solving polynomial equations.

Suppose f f is a polynomial function of degree four, and f(x)=0. f(x)=0. The Fundamental Theorem of Algebra states that there is at least one complex solution, call it c 1 . c 1 . By the Factor Theorem, we can write f(x) f(x) as a product of x c 1 x c 1 and a polynomial quotient. Since x c 1 x c 1 is linear, the polynomial quotient will be of degree three. Now we apply the Fundamental Theorem of Algebra to the third-degree polynomial quotient. It will have at least one complex zero, call it c 2 . c 2 . So we can write the polynomial quotient as a product of x c 2 x c 2 and a new polynomial quotient of degree two. Continue to apply the Fundamental Theorem of Algebra until all of the zeros are found. There will be four of them and each one will yield a factor of f(x). f(x).

The Fundamental Theorem of Algebra

The Fundamental Theorem of Algebra states that, if f(x) f(x) is a polynomial of degree n > 0, then f(x) f(x) has at least one complex zero.

We can use this theorem to argue that, if f(x) f(x) is a polynomial of degree n>0, n>0, and a a is a non-zero real number, then f(x) f(x) has exactly n n linear factors

f(x)=a(x c 1 )(x c 2 )...(x c n ) f(x)=a(x c 1 )(x c 2 )...(x c n )

where c 1 , c 2 ,..., c n c 1 , c 2 ,..., c n are complex numbers. Therefore, f(x) f(x) has n n roots if we allow for multiplicities.

Q&A

Does every polynomial have at least one imaginary zero?

No. Real numbers are a subset of complex numbers, but not the other way around. A complex number is not necessarily imaginary. Real numbers are also complex numbers.

Example 6

Finding the Zeros of a Polynomial Function with Complex Zeros

Find the zeros of f(x)=3 x 3 +9 x 2 +x+3. f(x)=3 x 3 +9 x 2 +x+3.

Analysis

Look at the graph of the function f f in Figure 2. Notice that, at x=−3, x=−3, the graph crosses the x-axis, indicating an odd multiplicity (1) for the zero x=–3. x=–3. Also note the presence of the two turning points. This means that, since there is a 3rd degree polynomial, we are looking at the maximum number of turning points. So, the end behavior of increasing without bound to the right and decreasing without bound to the left will continue. Thus, all the x-intercepts for the function are shown. So either the multiplicity of x=−3 x=−3 is 1 and there are two complex solutions, which is what we found, or the multiplicity at x=−3 x=−3 is three. Either way, our result is correct.

Graph of a polynomial with its x-intercept at (-3, 0) labeled as “Cross”.
Figure 2

Try It #4

Find the zeros of f(x)=2 x 3 +5 x 2 11x+4. f(x)=2 x 3 +5 x 2 11x+4.

Using the Linear Factorization Theorem to Find Polynomials with Given Zeros

A vital implication of the Fundamental Theorem of Algebra, as we stated above, is that a polynomial function of degree n n will have n n zeros in the set of complex numbers, if we allow for multiplicities. This means that we can factor the polynomial function into n n factors. The Linear Factorization Theorem tells us that a polynomial function will have the same number of factors as its degree, and that each factor will be in the form (xc), (xc), where c c is a complex number.

Let f f be a polynomial function with real coefficients, and suppose a+bib0, a+bib0, is a zero of f(x). f(x). Then, by the Factor Theorem, x(a+bi) x(a+bi) is a factor of f(x). f(x). For f f to have real coefficients, x(abi) x(abi) must also be a factor of f(x). f(x). This is true because any factor other than x(abi), x(abi), when multiplied by x(a+bi), x(a+bi), will leave imaginary components in the product. Only multiplication with conjugate pairs will eliminate the imaginary parts and result in real coefficients. In other words, if a polynomial function f f with real coefficients has a complex zero a+bi, a+bi, then the complex conjugate abi abi must also be a zero of f(x). f(x). This is called the Complex Conjugate Theorem.

Complex Conjugate Theorem

According to the Linear Factorization Theorem, a polynomial function will have the same number of factors as its degree, and each factor will be in the form (xc) (xc) , where c c is a complex number.

If the polynomial function f f has real coefficients and a complex zero in the form a+bi, a+bi, then the complex conjugate of the zero, abi, abi, is also a zero.

How To

Given the zeros of a polynomial function f f and a point (c, f(c)) on the graph of f, f, use the Linear Factorization Theorem to find the polynomial function.

  1. Use the zeros to construct the linear factors of the polynomial.
  2. Multiply the linear factors to expand the polynomial.
  3. Substitute ( c,f( c ) ) ( c,f( c ) ) into the function to determine the leading coefficient.
  4. Simplify.

Example 7

Using the Linear Factorization Theorem to Find a Polynomial with Given Zeros

Find a fourth degree polynomial with real coefficients that has zeros of –3, 2, i, i, such that f(−2)=100. f(−2)=100.

Analysis

We found that both i i and i i were zeros, but only one of these zeros needed to be given. If i i is a zero of a polynomial with real coefficients, then i i must also be a zero of the polynomial because i i is the complex conjugate of i. i.

Q&A

If 2+3i 2+3i were given as a zero of a polynomial with real coefficients, would 23i 23i also need to be a zero?

Yes. When any complex number with an imaginary component is given as a zero of a polynomial with real coefficients, the conjugate must also be a zero of the polynomial.

Try It #5

Find a third degree polynomial with real coefficients that has zeros of 5 and 2i 2i such that f(1)=10. f(1)=10.

Using Descartes’ Rule of Signs

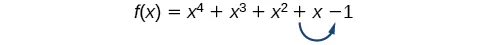
There is a straightforward way to determine the possible numbers of positive and negative real zeros for any polynomial function. If the polynomial is written in descending order, Descartes’ Rule of Signs tells us of a relationship between the number of sign changes in f(x) f(x) and the number of positive real zeros. For example, the polynomial function below has one sign change.

The function, f(x)=x^4+x^3+x^2+x-1, has one sign change between x and -1.`

This tells us that the function must have 1 positive real zero.

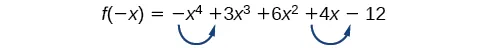
There is a similar relationship between the number of sign changes in f(x) f(x) and the number of negative real zeros.

The function, f(-x)=(-x)^4+(-x)^3+(-x)^2+(-x)-1=+ x^4-x^3+x^2-x-1, has three sign changes between x^4 and x^3, x^3 and x^2, and x^2 and x.`

In this case, f(x) f(x) has 3 sign changes. This tells us that f(x) f(x) could have 3 or 1 negative real zeros.

Descartes’ Rule of Signs

According to Descartes’ Rule of Signs, if we let f(x)= a n x n + a n1 x n1 +...+ a 1 x+ a 0 f(x)= a n x n + a n1 x n1 +...+ a 1 x+ a 0 be a polynomial function with real coefficients:

  • The number of positive real zeros is either equal to the number of sign changes of f(x) f(x) or is less than the number of sign changes by an even integer.
  • The number of negative real zeros is either equal to the number of sign changes of f(x) f(x) or is less than the number of sign changes by an even integer.

Example 8

Using Descartes’ Rule of Signs

Use Descartes’ Rule of Signs to determine the possible numbers of positive and negative real zeros for f(x)= x 4 3 x 3 +6 x 2 4x12. f(x)= x 4 3 x 3 +6 x 2 4x12.

Analysis

We can confirm the numbers of positive and negative real roots by examining a graph of the function. See Figure 5. We can see from the graph that the function has 0 positive real roots and 2 negative real roots.

Graph of f(x)=-x^4-3x^3+6x^2-4x-12 with x-intercepts at -4.42 and -1.
Figure 5

Try It #6

Use Descartes’ Rule of Signs to determine the maximum possible numbers of positive and negative real zeros for f(x)=2 x 4 10 x 3 +11 x 2 15x+12. f(x)=2 x 4 10 x 3 +11 x 2 15x+12. Use a graph to verify the numbers of positive and negative real zeros for the function.

Solving Real-World Applications

We have now introduced a variety of tools for solving polynomial equations. Let’s use these tools to solve the bakery problem from the beginning of the section.

Example 9

Solving Polynomial Equations

A new bakery offers decorated, multi-tiered cakes for display and cutting at Quinceañera and wedding celebrations, as well as sheet cakes to serve most of the guests. The bakery wants the volume of a small sheet cake to be 351 cubic inches. The cake is in the shape of a rectangular solid. They want the length of the cake to be four inches longer than the width of the cake and the height of the cake to be one-third of the width. What should the dimensions of the cake pan be?

Try It #7

A shipping container in the shape of a rectangular solid must have a volume of 84 cubic meters. The client tells the manufacturer that, because of the contents, the length of the container must be one meter longer than the width, and the height must be one meter greater than twice the width. What should the dimensions of the container be?

5.5 Section Exercises

Verbal

1.

Describe a use for the Remainder Theorem.

2.

Explain why the Rational Zero Theorem does not guarantee finding zeros of a polynomial function.

3.

What is the difference between rational and real zeros?

4.

If Descartes’ Rule of Signs reveals a no change of signs or one sign of changes, what specific conclusion can be drawn?

5.

If synthetic division reveals a zero, why should we try that value again as a possible solution?

Algebraic

For the following exercises, use the Remainder Theorem to find the remainder.

6.

( x 4 9 x 2 +14 )÷( x2 ) ( x 4 9 x 2 +14 )÷( x2 )

7.

( 3 x 3 2 x 2 +x4 )÷( x+3 ) ( 3 x 3 2 x 2 +x4 )÷( x+3 )

8.

( x 4 +5 x 3 4x17 )÷( x+1 ) ( x 4 +5 x 3 4x17 )÷( x+1 )

9.

( 3 x 2 +6x+24 )÷( x4 ) ( 3 x 2 +6x+24 )÷( x4 )

10.

( 5 x 5 4 x 4 +3 x 3 2 x 2 +x1 )÷( x+6 ) ( 5 x 5 4 x 4 +3 x 3 2 x 2 +x1 )÷( x+6 )

11.

( x 4 1 )÷( x4 ) ( x 4 1 )÷( x4 )

12.

( 3 x 3 +4 x 2 8x+2 )÷( x3 ) ( 3 x 3 +4 x 2 8x+2 )÷( x3 )

13.

( 4 x 3 +5 x 2 2x+7 )÷( x+2 ) ( 4 x 3 +5 x 2 2x+7 )÷( x+2 )

For the following exercises, use the given factor and the Factor Theorem to find all real zeros for the given polynomial function.

14.

f(x)=2 x 3 9 x 2 +13x6;x1 f(x)=2 x 3 9 x 2 +13x6;x1

15.

f(x)=2 x 3 + x 2 5x+2;x+2 f(x)=2 x 3 + x 2 5x+2;x+2

16.

f(x)=3 x 3 + x 2 20x+12;x+3 f(x)=3 x 3 + x 2 20x+12;x+3

17.

f(x)=2 x 3 +3 x 2 +x+6;x+2 f(x)=2 x 3 +3 x 2 +x+6;x+2

18.

f(x)=5 x 3 +16 x 2 9;x3 f(x)=5 x 3 +16 x 2 9;x3

19.

x 3 +3 x 2 +4x+12;x+3 x 3 +3 x 2 +4x+12;x+3

20.

4 x 3 7x+3;x1 4 x 3 7x+3;x1

21.

2 x 3 +5 x 2 12x30,2x+5 2 x 3 +5 x 2 12x30,2x+5

For the following exercises, use the Rational Zero Theorem to find the real solution(s) to each equation.

22.

x 3 3 x 2 10x+24=0 x 3 3 x 2 10x+24=0

23.

2 x 3 +7 x 2 10x24=0 2 x 3 +7 x 2 10x24=0

24.

x 3 +2 x 2 9x18=0 x 3 +2 x 2 9x18=0

25.

x 3 +5 x 2 16x80=0 x 3 +5 x 2 16x80=0

26.

x 3 3 x 2 25x+75=0 x 3 3 x 2 25x+75=0

27.

2 x 3 3 x 2 32x15=0 2 x 3 3 x 2 32x15=0

28.

2 x 3 + x 2 7x6=0 2 x 3 + x 2 7x6=0

29.

2 x 3 3 x 2 x+1=0 2 x 3 3 x 2 x+1=0

30.

3 x 3 x 2 11x6=0 3 x 3 x 2 11x6=0

31.

2 x 3 5 x 2 +9x9=0 2 x 3 5 x 2 +9x9=0

32.

2 x 3 3 x 2 +4x+3=0 2 x 3 3 x 2 +4x+3=0

33.

x 4 2 x 3 7 x 2 +8x+12=0 x 4 2 x 3 7 x 2 +8x+12=0

34.

x 4 +2 x 3 9 x 2 2x+8=0 x 4 +2 x 3 9 x 2 2x+8=0

35.

4 x 4 +4 x 3 25 x 2 x+6=0 4 x 4 +4 x 3 25 x 2 x+6=0

36.

2 x 4 3 x 3 15 x 2 +32x12=0 2 x 4 3 x 3 15 x 2 +32x12=0

37.

x 4 +2 x 3 4 x 2 10x5=0 x 4 +2 x 3 4 x 2 10x5=0

38.

4 x 3 3x+1=0 4 x 3 3x+1=0

39.

8 x 4 +26 x 3 +39 x 2 +26x+6 8 x 4 +26 x 3 +39 x 2 +26x+6

For the following exercises, find all complex solutions (real and non-real).

40.

x 3 + x 2 +x+1=0 x 3 + x 2 +x+1=0

41.

x 3 8 x 2 +25x26=0 x 3 8 x 2 +25x26=0

42.

x 3 +13 x 2 +57x+85=0 x 3 +13 x 2 +57x+85=0

43.

3 x 3 4 x 2 +11x+10=0 3 x 3 4 x 2 +11x+10=0

44.

x 4 +2 x 3 +22 x 2 +50x75=0 x 4 +2 x 3 +22 x 2 +50x75=0

45.

2 x 3 3 x 2 +32x+17=0 2 x 3 3 x 2 +32x+17=0

Graphical

For the following exercises, use Descartes’ Rule to determine the possible number of positive and negative solutions. Confirm with the given graph.

46.

f(x)= x 3 1 f(x)= x 3 1

47.

f(x)= x 4 x 2 1 f(x)= x 4 x 2 1

48.

f(x)= x 3 2 x 2 5x+6 f(x)= x 3 2 x 2 5x+6

49.

f(x)= x 3 2 x 2 +x1 f(x)= x 3 2 x 2 +x1

50.

f(x)= x 4 +2 x 3 12 x 2 +14x5 f(x)= x 4 +2 x 3 12 x 2 +14x5

51.

f(x)=2 x 3 +37 x 2 +200x+300 f(x)=2 x 3 +37 x 2 +200x+300

52.

f(x)= x 3 2 x 2 16x+32 f(x)= x 3 2 x 2 16x+32

53.

f(x)=2 x 4 5 x 3 5 x 2 +5x+3 f(x)=2 x 4 5 x 3 5 x 2 +5x+3

54.

f(x)=2 x 4 5 x 3 14 x 2 +20x+8 f(x)=2 x 4 5 x 3 14 x 2 +20x+8

55.

f(x)=10 x 4 21 x 2 +11 f(x)=10 x 4 21 x 2 +11

Numeric

For the following exercises, list all possible rational zeros for the functions.

56.

f(x)= x 4 +3 x 3 4x+4 f(x)= x 4 +3 x 3 4x+4

57.

f(x)=2 x 3 +3 x 2 8x+5 f(x)=2 x 3 +3 x 2 8x+5

58.

f(x)=3 x 3 +5 x 2 5x+4 f(x)=3 x 3 +5 x 2 5x+4

59.

f(x)=6 x 4 10 x 2 +13x+1 f(x)=6 x 4 10 x 2 +13x+1

60.

f(x)=4 x 5 10 x 4 +8 x 3 + x 2 8 f(x)=4 x 5 10 x 4 +8 x 3 + x 2 8

Technology

For the following exercises, use your calculator to graph the polynomial function. Based on the graph, find the rational zeros. All real solutions are rational.

61.

f(x)=6 x 3 7 x 2 +1 f(x)=6 x 3 7 x 2 +1

62.

f(x)=4 x 3 4 x 2 13x5 f(x)=4 x 3 4 x 2 13x5

63.

f(x)=8 x 3 6 x 2 23x+6 f(x)=8 x 3 6 x 2 23x+6

64.

f(x)=12 x 4 +55 x 3 +12 x 2 117x+54 f(x)=12 x 4 +55 x 3 +12 x 2 117x+54

65.

f(x)=16 x 4 24 x 3 + x 2 15x+25 f(x)=16 x 4 24 x 3 + x 2 15x+25

Extensions

For the following exercises, construct a polynomial function of least degree possible using the given information.

66.

Real roots: –1, 1, 3 and ( 2,f( 2 ) )=( 2,4 ) ( 2,f( 2 ) )=( 2,4 )

67.

Real roots: –1, 1 (with multiplicity 2 and 1) and ( 2,f( 2 ) )=( 2,4 ) ( 2,f( 2 ) )=( 2,4 )

68.

Real roots: –2, 1 2 1 2 (with multiplicity 2) and ( 3,f( 3 ) )=( 3,5 ) ( 3,f( 3 ) )=( 3,5 )

69.

Real roots: 1 2 1 2 , 0, 1 2 1 2 and ( 2,f( 2 ) )=( 2,6 ) ( 2,f( 2 ) )=( 2,6 )

70.

Real roots: –4, –1, 1, 4 and ( 2,f( 2 ) )=( 2,10 ) ( 2,f( 2 ) )=( 2,10 )

Real-World Applications

For the following exercises, find the dimensions of the box described.

71.

The length is twice as long as the width. The height is 2 inches greater than the width. The volume is 192 cubic inches.

72.

The length, width, and height are consecutive whole numbers. The volume is 120 cubic inches.

73.

The length is one inch more than the width, which is one inch more than the height. The volume is 86.625 cubic inches.

74.

The length is three times the height and the height is one inch less than the width. The volume is 108 cubic inches.

75.

The length is 3 inches more than the width. The width is 2 inches more than the height. The volume is 120 cubic inches.

For the following exercises, find the dimensions of the right circular cylinder described.

76.

The radius is 3 inches more than the height. The volume is 16π 16π cubic meters.

77.

The height is one less than one half the radius. The volume is 72π 72π cubic meters.

78.

The radius and height differ by one meter. The radius is larger and the volume is 48π 48π cubic meters.

79.

The radius and height differ by two meters. The height is greater and the volume is 28.125π 28.125π cubic meters.

80.

The radius is 1 3 1 3 meter greater than the height. The volume is 98 9 π 98 9 π cubic meters.

Citation/Attribution

This book may not be used in the training of large language models or otherwise be ingested into large language models or generative AI offerings without OpenStax's permission.

Want to cite, share, or modify this book? This book uses the Creative Commons Attribution License and you must attribute OpenStax.

Attribution information
  • If you are redistributing all or part of this book in a print format, then you must include on every physical page the following attribution:

    Access for free at https://openstax.org/books/algebra-and-trigonometry-2e/pages/1-introduction-to-prerequisites

  • If you are redistributing all or part of this book in a digital format, then you must include on every digital page view the following attribution:

    Access for free at https://openstax.org/books/algebra-and-trigonometry-2e/pages/1-introduction-to-prerequisites

Citation information

© Jun 16, 2025 OpenStax. Textbook content produced by OpenStax is licensed under a Creative Commons Attribution License . The OpenStax name, OpenStax logo, OpenStax book covers, OpenStax CNX name, and OpenStax CNX logo are not subject to the Creative Commons license and may not be reproduced without the prior and express written consent of Rice University.