Skip to ContentGo to accessibility pageKeyboard shortcuts menu
OpenStax Logo
Algebra 1

Factor Trinomials: Mini-Lesson Review

Algebra 1Factor Trinomials: Mini-Lesson Review
Search for key terms or text.

Factor Trinomials: Mini-Lesson Review

Mini Lesson Question

Question #2: Factor Trinomials

Factor: y 2 y 42 .
  1. ( y 7 ) ( y 6 )
  2. ( y + 7 ) ( y + 6 )
  3. ( y + 7 ) ( y 6 )
  4. ( y 7 ) ( y + 6 )

Factor Trinomials

Example 1

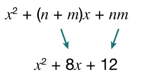
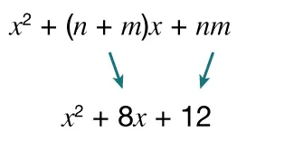
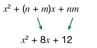
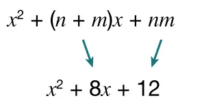
To factor the trinomial x 2 + 8 x + 12 x 2 + 8 x + 12 , you can reverse the process of FOIL.

The trinomial factors to two binomials of the form ( x + m ) ( x + n ) ( x + m ) ( x + n ) .

  • Using FOIL: ( x + m ) ( x + n ) = x 2 + n x + m x + m n ( x + m ) ( x + n ) = x 2 + n x + m x + m n .
  • Using the distributive property: x 2 + ( n + m ) x + m n x 2 + ( n + m ) x + m n .

Take a look at the trinomial x 2 + 8 x + 12 x 2 + 8 x + 12 :

Image showing  x squared plus the quantity of n plus m times x plus m times n. On the next line, the trinomial is rewritten as x squared plus 8 times x plus 12 and arrows point from the quantity of n plus m in the trinomial above to the 8, and an arrow from m times n in the trinomial above to 12.

To factor the trinomial, we need factors of 12, m m and n n , so that the sum, n + m n + m , is 8.

Use a table to find all the different combinations of factors of 12. Then, find the sum of the factors.

Factors of 12 Sum of factors

1 , 12 1 , 12

1 + 12 = 13 1 + 12 = 13

2 , 6 2 , 6

2 + 6 = 8 2 + 6 = 8

3 , 4 3 , 4

3 + 4 = 7 3 + 4 = 7

The numbers 2 and 6 have a product of 12 and a sum of 8. They are the factors we need:

x 2 + 8 x + 12 = ( x + 6 ) ( x + 2 ) x 2 + 8 x + 12 = ( x + 6 ) ( x + 2 )

Example 2

Factor the trinomial x 2 5 x 24 x 2 5 x 24 .

To factor the trinomial, we need factors of -24, m m and n n , so that the sum, n + m n + m is -5.

  • The product of the factors is negative, so the factors must have opposite signs. 
  • The sum is negative, so the negative sign will go with the factor with the greater absolute value.
Factors of 12 Sum of factors

1 , 24 1 , 24

2 , 12 2 , 12

3 , 8 3 , 8

4 , 6 4 , 6

1 + ( 24 ) = 23 1 + ( 24 ) = 23

2 + ( 12 ) = 10 2 + ( 12 ) = 10

3 + ( 8 ) = 5 3 + ( 8 ) = 5

4 + ( 6 ) = 2 4 + ( 6 ) = 2

The numbers 3 and -8 have a product of -24 and a sum of -5.

x 2 5 x 24 = ( x + 3 ) ( x 8 ) x 2 5 x 24 = ( x + 3 ) ( x 8 )

Example 3

Factor the trinomial x 2 9 x + 18 x 2 9 x + 18 .

To factor the trinomial, we need factors of 18, m m and n n , so that the sum, n + m n + m , is -9.

  • The product of the factors is positive, so the factors must have the same signs. 
  • The sum is negative, so both factors are negative.
Factors of 18 Sum of factors

1 , 18 1 , 18

2 , 9 2 , 9

3 , 6 3 , 6

1 + ( 18 ) = 19 1 + ( 18 ) = 19

2 + ( 9 ) = 11 2 + ( 9 ) = 11

3 + ( 6 ) = 9 3 + ( 6 ) = 9

The numbers -3 and -6 have a product of 18 and a sum of -9.

x 2 9 x + 18 = ( x 3 ) ( x 6 ) x 2 9 x + 18 = ( x 3 ) ( x 6 )

Try it

Factoring Trinomials

Factor the trinomial x 2 + 2 x 24 x 2 + 2 x 24 .

Check Your Understanding

Factor: y 2 13 y + 36 y 2 13 y + 36 .

  1. ( y 4 ) ( y 9 ) ( y 4 ) ( y 9 )

  2. ( y 2 ) ( y + 18 ) ( y 2 ) ( y + 18 )

  3. ( y + 4 ) ( y + 9 ) ( y + 4 ) ( y + 9 )

  4. ( y 6 ) ( y 6 ) ( y 6 ) ( y 6 )

Video: Factoring Trinomials

Watch the following video to learn more about factoring trinomials.

Khan Academy: Factoring Quadratics

Citation/Attribution

This book may not be used in the training of large language models or otherwise be ingested into large language models or generative AI offerings without OpenStax's permission.

Want to cite, share, or modify this book? This book uses the Creative Commons Attribution-NonCommercial-ShareAlike License and you must attribute OpenStax.

Attribution information
  • If you are redistributing all or part of this book in a print format, then you must include on every physical page the following attribution:

    Access for free at https://openstax.org/books/algebra-1/pages/about-this-course

  • If you are redistributing all or part of this book in a digital format, then you must include on every digital page view the following attribution:

    Access for free at https://openstax.org/books/algebra-1/pages/about-this-course

Citation information

© Aug 26, 2025 OpenStax. Textbook content produced by OpenStax is licensed under a Creative Commons Attribution-NonCommercial-ShareAlike License . The OpenStax name, OpenStax logo, OpenStax book covers, OpenStax CNX name, and OpenStax CNX logo are not subject to the Creative Commons license and may not be reproduced without the prior and express written consent of Rice University.