Skip to ContentGo to accessibility pageKeyboard shortcuts menu
OpenStax Logo
Algebra 1

6.6.2 Factoring Perfect Square Trinomials

Algebra 16.6.2 Factoring Perfect Square Trinomials
Search for key terms or text.

6.6.2 • Factoring Perfect Square Trinomials

Activity

Remember the patterns for perfect square trinomials:

a 2 + 2 a b + b 2 = ( a + b ) 2 a 2 + 2 a b + b 2 = ( a + b ) 2

a 2 2 a b + b 2 = ( a b ) 2 a 2 2 a b + b 2 = ( a b ) 2

Factor each perfect square trinomial. If necessary, factor out the GCF first.

1. 64 y 2 80 y + 25 64 y 2 80 y + 25

2. 16 y 2 + 24 y + 9 16 y 2 + 24 y + 9

3. 25 n 2 120 n + 144 25 n 2 120 n + 144

4. 100 y 2 20 y + 1 100 y 2 20 y + 1

5. 10 j k 2 + 80 j k + 160 j 10 j k 2 + 80 j k + 160 j

6. 75 u 4 30 u 3 v + 3 u 2 v 2 75 u 4 30 u 3 v + 3 u 2 v 2

Are you ready for more?

Extending Your Thinking

Factor this perfect square trinomial.

90 p 4 r 2 + 300 p 3 q r 2 + 250 p 2 q 2 r 2 90 p 4 r 2 + 300 p 3 q r 2 + 250 p 2 q 2 r 2

Self Check

Factor: 64 m 2 + 112 m n + 49 n 2 .
  1. ( 8 m + 7 n ) 2
  2. ( 8 m 7 n ) 2
  3. ( 8 n + 7 m ) 2
  4. m ( 8 + 7 n ) 2

Additional Resources

Factoring Perfect Square Trinomials

Some trinomials are perfect squares. They result from multiplying a binomial by itself. We squared a binomial using the Binomial Squares pattern in a previous lesson.

( a + b ) 2 ( a + b ) 2

( 3 x + 4 ) 2 ( 3 x + 4 ) 2

a 2 + 2 · a · b + b 2 ( 3 x ) 2 + 2 ( 3 x · 4 ) + 4 2 a 2 + 2 · a · b + b 2 ( 3 x ) 2 + 2 ( 3 x · 4 ) + 4 2

9 x 2 + 24 x + 16 9 x 2 + 24 x + 16

The trinomial 9 x 2 + 24 x + 16 9 x 2 + 24 x + 16 is called a perfect square trinomial. It is the square of the binomial 3 x + 4 3 x + 4 .

In this chapter, you will start with a perfect square trinomial and factor it into its prime factors.

You could factor this trinomial using the methods described in the last section since it is of the form a x 2 + b x + c a x 2 + b x + c . But if you recognize that the first and last terms are squares and the trinomial fits the perfect square trinomials pattern, you will save yourself a lot of work.

Here is the pattern—the reverse of the binomial squares pattern.

PERFECT SQUARE TRINOMIALS PATTERN

If a a and b b are real numbers

a 2 + 2 a b + b 2 = ( a + b ) 2 a 2 + 2 a b + b 2 = ( a + b ) 2

a 2 2 a b + b 2 = ( a b ) 2 a 2 2 a b + b 2 = ( a b ) 2

To use this pattern, you have to recognize that a given trinomial fits it. Check first to see if the leading coefficient is a perfect square, a 2 a 2 . Next, check that the last term is a perfect square, b 2 b 2 . Then check the middle term: Is it the product, 2 a b 2 a b ? If everything checks, you can easily write the factors.

Example 1

Factor: 9 x 2 + 12 x + 4 9 x 2 + 12 x + 4 .

Step 1 - Does the trinomial fit the perfect square trinomials pattern, a 2 + 2 a b + b 2 a 2 + 2 a b + b 2 ?

  • Is the first term a perfect square? Write it as a square, a 2 a 2 .
    • Is 9 x 2 9 x 2 a perfect square?
    • Yes. Write it as ( 3 x ) 2 ( 3 x ) 2 .
  • Is the last term a perfect square? Write it as a square, b 2 b 2 .
    • Is 4 a perfect square?
    • Yes. Write it as ( 2 ) 2 ( 2 ) 2 .
  • Check the middle term. Is it 2 a b 2 a b ?
    • Is 12 x 12 x twice the product of 3 x 3 x and 2 2 2 2 ? Does it match?
    • Yes, so we have a perfect square trinomial!
Mathematical breakdown of 9x squared + 12x + 4: (3x) squared + 2(3x)(2) + (2) squared, showing how the middle term, 12x, comes from 2(3x)(2); arrows point to the 12x term.

Step 2 - Write the square of the binomial.

9 x 2 + 12 x + 4 9 x 2 + 12 x + 4

a 2 + 2 · a · b + b 2 a 2 + 2 · a · b + b 2

( 3 x ) 2 + 2 · 3 x · 2 + 2 2 ( 3 x ) 2 + 2 · 3 x · 2 + 2 2

( a + b ) 2 ( a + b ) 2

( 3 x + 2 ) 2 ( 3 x + 2 ) 2

Step 3 - Check by multiplying.

( 3 x + 2 ) 2 ( 3 x + 2 ) 2

( 3 x ) 2 + 2 · 3 x · 2 + 2 2 ( 3 x ) 2 + 2 · 3 x · 2 + 2 2

9 x 2 + 12 x + 4 9 x 2 + 12 x + 4

The sign of the middle term determines which pattern we will use. When the middle term is negative, we use the pattern a 2 2 a b + b 2 a 2 2 a b + b 2 , which factors to ( a b ) 2 ( a b ) 2 .

The steps are summarized here.

How to factor perfect square trinomials:

Step 1 - Does the trinomial fit the perfect square trinomials pattern?

  • Is the first term a perfect square? Write it as a square.
  • Is the last term a perfect square? Write it as a square.
  • Check the middle term. Is it 2 a b 2 a b ?

Step 2 - Write the square of the binomial.

Step 3 - Check by multiplying.

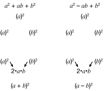
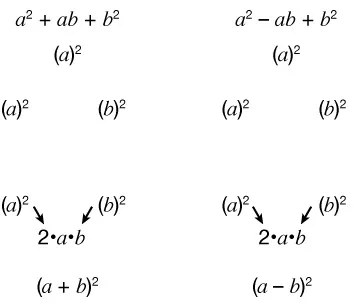
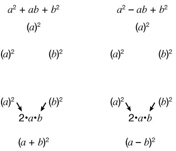
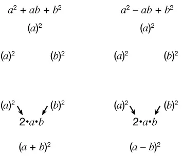
A diagram showing the expansion of (a + b) squared and (a − b) squared, breaking them into a squared, b squared, and plus minus 2ab, with arrows indicating the terms combining to form each squared expression.

We’ll work one now where the middle term is negative.

Example 2

Factor: 81 y 2 72 y + 16 81 y 2 72 y + 16 .

The first and last terms are squares. See if the middle term fits the pattern of a perfect square trinomial. The middle term is negative, so the binomial square would be ( a b ) 2 ( a b ) 2 .

Step 1 - Are the first and last terms perfect squares?

81 y 2 72 y + 16 81 y 2 72 y + 16

( 9 y ) 2 ( 4 ) 2 ( 9 y ) 2 ( 4 ) 2

Step 2 - Check the middle term.

Two arrows point from (9y squared) and (4) squared to 2(9y)(4) below them, and below that is 72y.

Does it match ( a b ) 2 ( a b ) 2 ?

a 2 2 a b + b 2 a 2 2 a b + b 2

( 9 y ) 2 2 · 9 y · 4 + 4 2 ( 9 y ) 2 2 · 9 y · 4 + 4 2

Yes.

Step 3 - Write as the square of a binomial.

( 9 y 1 ) 2 ( 9 y 1 ) 2

Step 4 - Check by multiplying.

( 9 y 1 ) 2 ( 9 y 1 ) 2

( 9 y ) 2 2 · 9 y · 4 + 4 2 ( 9 y ) 2 2 · 9 y · 4 + 4 2

81 y 2 72 y + 16 81 y 2 72 y + 16

The next example will be a perfect square trinomial with two variables.

Example 3

Factor: 36 x 2 + 84 x y + 49 y 2 36 x 2 + 84 x y + 49 y 2 .

Step 1 - Test each term to verify the pattern.

a 2 + 2 ( a ) ( b ) + b 2 a 2 + 2 ( a ) ( b ) + b 2

6 x 2 + 2 ( 6 x ) ( 7 y ) + ( 7 y ) 2 6 x 2 + 2 ( 6 x ) ( 7 y ) + ( 7 y ) 2

Step 2 - Factor.

( 6 x + 7 y ) 2 ( 6 x + 7 y ) 2

Step 3 - Check by multiplying.

( 6 x + 7 y ) 2 ( 6 x + 7 y ) 2

( 6 x ) 2 + 2 · 6 x · 7 y + ( 7 y ) 2 ( 6 x ) 2 + 2 · 6 x · 7 y + ( 7 y ) 2

36 x 2 + 84 x y + 49 y 2 36 x 2 + 84 x y + 49 y 2

Remember, the first step in factoring is to look for a greatest common factor. Perfect square trinomials may have a GCF in all three terms, and it should be factored out first. And, sometimes, once the GCF has been factored, you will recognize a perfect square trinomial.

Example 4

Factor: 100 x 2 y 80 x y + 16 y 100 x 2 y 80 x y + 16 y .

Step 1 - Is there a GCF? Yes, 4 y 4 y , so factor it out.

4 y ( 25 x 2 20 x + 4 ) 4 y ( 25 x 2 20 x + 4 )

Step 2 - Is this a perfect square trinomial? Verify the pattern.

a 2 2 a b + b 2 a 2 2 a b + b 2

4 y [ ( 5 x ) 2 2 · 5 x · 2 + 2 2 ] 4 y [ ( 5 x ) 2 2 · 5 x · 2 + 2 2 ]

Step 3 - Write as the square of a binomial.

4 y ( 5 x 2 ) 2 4 y ( 5 x 2 ) 2

Remember: Keep the factor 4 y 4 y in the final product.

Step 4 - Check by multiplying.

4 y ( 5 x 2 ) 2 4 y ( 5 x 2 ) 2

4 y [ ( 5 x ) 2 2 · 5 x · 2 + 2 2 ] 4 y [ ( 5 x ) 2 2 · 5 x · 2 + 2 2 ]

4 y ( 25 x 2 20 x + 4 ) 4 y ( 25 x 2 20 x + 4 )

100 x 2 y 80 x y + 16 y 100 x 2 y 80 x y + 16 y

Try it

Factoring Perfect Square Trinomials

Factor.

1. 4 x 2 + 12 x + 9 4 x 2 + 12 x + 9

2. 49 x 2 + 84 x y + 36 y 2 49 x 2 + 84 x y + 36 y 2

3. 8 x 2 y 24 x y + 18 y 8 x 2 y 24 x y + 18 y

Citation/Attribution

This book may not be used in the training of large language models or otherwise be ingested into large language models or generative AI offerings without OpenStax's permission.

Want to cite, share, or modify this book? This book uses the Creative Commons Attribution-NonCommercial-ShareAlike License and you must attribute OpenStax.

Attribution information
  • If you are redistributing all or part of this book in a print format, then you must include on every physical page the following attribution:

    Access for free at https://openstax.org/books/algebra-1/pages/about-this-course

  • If you are redistributing all or part of this book in a digital format, then you must include on every digital page view the following attribution:

    Access for free at https://openstax.org/books/algebra-1/pages/about-this-course

Citation information

© Aug 26, 2025 OpenStax. Textbook content produced by OpenStax is licensed under a Creative Commons Attribution-NonCommercial-ShareAlike License . The OpenStax name, OpenStax logo, OpenStax book covers, OpenStax CNX name, and OpenStax CNX logo are not subject to the Creative Commons license and may not be reproduced without the prior and express written consent of Rice University.