Skip to ContentGo to accessibility pageKeyboard shortcuts menu
OpenStax Logo
Algebra 1

6.3.2 Dividing Polynomials Using Long Division

Algebra 16.3.2 Dividing Polynomials Using Long Division
Search for key terms or text.

6.3.2 • Dividing Polynomials Using Long Division

Activity

Recall the process of dividing 960 ÷ 20 960 ÷ 20 as a class using long division. Use this same method to divide the polynomials below. After each problem, check in with a partner. With your partner, discuss your work and use the words dividend, divisor, and quotient in your explanations.

1. Find the quotient using long division.

( m 2 + 9 m + 20 ) ÷ ( m + 4 ) ( m 2 + 9 m + 20 ) ÷ ( m + 4 )

Look through the video for help.

2. Find the quotient using long division.

( p 2 + 2 p 8 ) ÷ ( p 2 7 p + 10 ) ( p 2 + 2 p 8 ) ÷ ( p 2 7 p + 10 )

3. Find the quotient using long division.

( 5 x + 5 ) ÷ ( x + 5 ) ( 5 x + 5 ) ÷ ( x + 5 )

Notice in the next problem, there is no x 3 x 3 term in the dividend. Add 0 x 3 0 x 3 as a placeholder when using long division.

4. Find the quotient using long division.

( x 4 11 x 2 7 x 6 ) ÷ ( x + 3 ) ( x 4 11 x 2 7 x 6 ) ÷ ( x + 3 )

In this next problem, you will need to add two placeholders to divide.

5. Find the quotient using long division.

( 125 x 3 8 ) ÷ ( 5 x 2 ) ( 125 x 3 8 ) ÷ ( 5 x 2 )

Are you ready for more?

Extending Your Thinking

Find the quotient using long division.

( 125 y 5 80 y 4 31 y 3 + 37 y 2 + 10 y 24 ) ÷ ( 5 y 4 ) ( 125 y 5 80 y 4 31 y 3 + 37 y 2 + 10 y 24 ) ÷ ( 5 y 4 )

Video: Dividing Polynomials Using Long Division

Watch the following video to learn more about how to divide polynomials using long division.

Self Check

Find the quotient: ( 3 x 3 19 x 2 9 x 35 ) ÷ ( x 7 ) .
  1. x 2 + 2 x + 5
  2. 3 x 2 + 2 x 23
  3. 3 x 2 + 2 x + 5
  4. 3 x 2 + 40 x + 5

Additional Resources

Dividing Polynomials Using Long Division

To divide a polynomial by a binomial, we follow a procedure very similar to long division of numbers. So let’s look carefully at the steps we take when we divide a 3 3 -digit number, 875 875 , by a 2 2 -digit number, 25 25 .

Long division setup: 875 is under the division bar labeled as dividend, and 25 is outside the division bar labeled as divisor, both labels in red with arrows pointing to the numbers.

Step 1 - Starting from the leftmost digit in the dividend and moving right one digit at a time, find the smallest value possible that is larger than the divisor.

Divide this value, 87 87 , by the divisor, 25 25 . Write the whole-number result with no remainder in the space for the quotient.

Long division setup: 875 divided by 25, with the 8 in 875 underlined and a red 3 written above the 8.

Step 2 -Multiply this digit in the quotient by the divisor, 3 · 25 3 · 25 .

Write the result below the corresponding digits in the dividend.

A long division problem: 875 divided by 25. The divisor is 25, the dividend is 875, the quotient is 3, and the number 75 is written in red below the dividend.

Step 3 -Subtract the two values.

Long division problem: 875 divided by 25. The 25 goes into 87 three times, noted above the division bar. Multiplication and subtraction work is shown underneath, leaving a remainder of 12.

Step 4 - Bring down the next digit in the dividend.

Long division problem: 875 divided by 25. The 25 goes into 87 three times, noted above the division bar. Multiplication and subtraction work is shown underneath, leaving a remainder of 12.  The 5 is underlined in red and brought down next to the 12.  That 5 is also underlined in red.

Step 5 - Repeat the division by dividing the new value, 125 125 , by the divisor.

Write the result, 5 5 , over the corresponding digit in the quotient.

Long division of 875 by 25, showing the quotient 35 with the 5 in red above the division bar, this indicated that 25 goes into 125,5 times.

Step 6 - Multiply this digit in the quotient by the divisor, 5 · 25 5 · 25 .

Write the result at the bottom below the previous number.

Long division of 875 by 25, showing the quotient 35 with the 5 in red above the division bar, this indicated that 25 goes into 125, 5 times. This equals 125 written in red under 125.

Step 7 -Subtract the two values. Since there are no more digits to bring down, this value is the remainder.

The quotient is on top.

Long division example: 875 divided by 25. The quotient (35) is labeled at the top, and the remainder (0) is labeled at the bottom. Subtraction steps are shown: 87-75=12, the 5 is brought down, then 125-125=0.

We check division by multiplying the quotient by the divisor.

If we did the division correctly, the product should equal the dividend.

  • 35 · 25 35 · 25
  • 875 875

Now we will divide a trinomial by a binomial. As you read through the Example, notice how similar the steps are to the numerical Example above.

Example 1

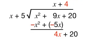
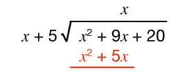
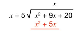
Find the quotient: ( x 2 + 9 x + 20 ) ÷ ( x + 5 ) ( x 2 + 9 x + 20 ) ÷ ( x + 5 ) .

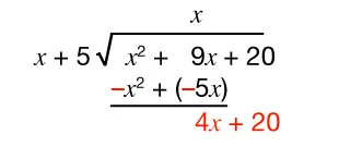
Step 1 - Write it as a long division problem. Be sure the dividend is in standard form.

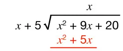
Math expression: x plus 5 times the square root of x squared plus 9x plus 20.

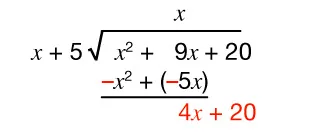
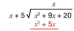
Step 2 - Divide x 2 x 2 by x x . It may help to ask yourself, “What do I need to multiply x x by to get x 2 x 2 ?”

Mathematical expression: x plus 5 times the square root of x squared plus 9x plus 20, wit the x's and the x squared t highlighted in red.

Step 3 - Put the answer, x x , in the quotient over the x x term. Multiply x x times x + 5 x + 5 . Line up the like terms under the dividend.

Long division of polynomials: x plus 5 divided into x squared plus 9x plus 20. The first subtraction step, x squared plus 5x, is in red and underlined in red below the dividend.

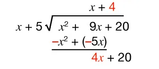
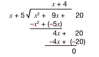
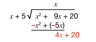
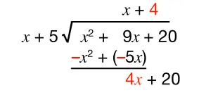
Step 4 - Subtract x 2 + 5 x x 2 + 5 x from x 2 + 9 x x 2 + 9 x . You may find it easier to change the signs and then add. Then bring down the last term, 20 20 .

Long division of polynomials: x plus 5 divided into x squared plus 9x plus 20. The first subtraction step, x squared plus 5x, are multipled by negative 1, this is indicated by a red negative signe in from of x squared and 5 x.  The expression after the subtraction is 4x and the 20 is brought down.  The expression 4x+20 is in red.

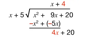
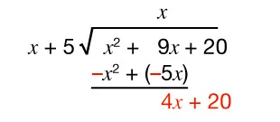
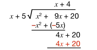
Step 5 - Divide 4 x 4 x by x x . It may help to ask yourself, “What do I need to multiply x x by to get 4 x 4 x ?” Put the answer, 4 4 , in the quotient over the constant term.

A polynomial long division problem showing (x² + 9x + 20) divided by (x + 5). The subtraction steps and results are highlighted in red: x + 4 on top, -x² + (-5x) and 4x + 20 underneath.

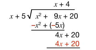
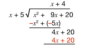
Step 6 - Multiply 4 4 times x + 5 x + 5 .

Long division of x squared  + 9x + 20  by (x + 5)is shown, with subtraction steps in red. The result above the division bar is ((x + 4)

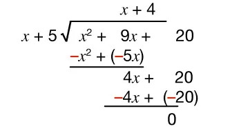
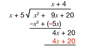
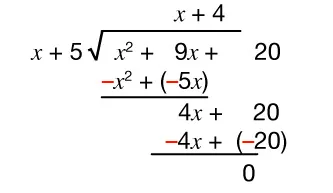
Step 7 - Subtract 4 x + 20 4 x + 20 from 4 x + 20 4 x + 20 .

Long division of (x² + 9x + 20) by (x + 5): The result is x + 4, with subtraction steps shown, and the final remainder is 0. Negative terms are highlighted in red.

Step 8 - Check: Multiply the quotient by the divisor. You should get the dividend.

( x + 4 ) ( x + 5 ) ( x + 4 ) ( x + 5 )

x 2 + 9 x + 20 x 2 + 9 x + 20

When we divided 875 875 by 25 25 , we had no remainder. But sometimes division of numbers does leave a remainder. The same is true when we divide polynomials. In the next Example, we’ll have division that leaves a remainder. We write the remainder as a fraction with the divisor as the denominator.

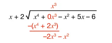
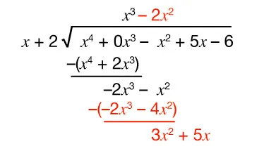
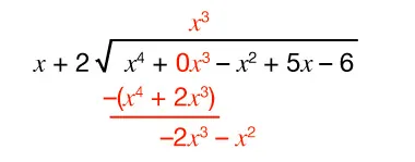
Look back at the dividend in the previous Example. The terms were written in descending order of degrees, and there were no missing degrees. The dividend in the next Example will be x 4 x 2 + 5 x 6 x 4 x 2 + 5 x 6 . It is missing an x 3 x 3 term. We will add in 0 x 3 0 x 3 as a placeholder.

Example 2

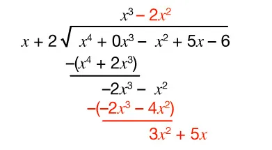
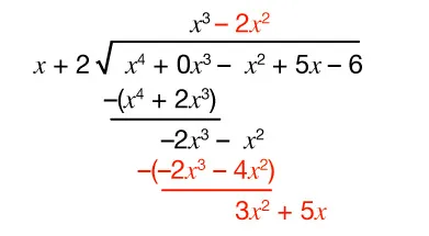
Find the quotient: ( x 4 x 2 + 5 x 6 ) ÷ ( x + 2 ) ( x 4 x 2 + 5 x 6 ) ÷ ( x + 2 ) .

Notice that there is no x 3 x 3 term in the dividend. We will add 0 x 3 0 x 3 as a placeholder.

Step 1 - Write it as a long division problem.

Be sure the dividend is in standard form with placeholders for missing terms.

Mathematical expression: x plus 2 times the square root of x to the fourth power plus 0 times x cubed (in red) minus x squared plus 5x minus 6.

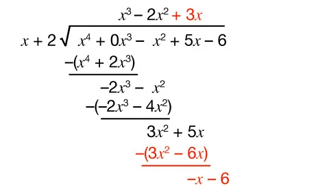
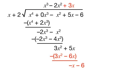
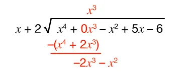
Step 2 - Divide x 4 x 4 by x x .

Put the answer, x 3 x 3 , in the quotient over the x 3 x 3 term. Multiply x 3 x 3 times x + 2 x + 2 .

Line up the like terms. Subtract and then bring down the next term.

Polynomial long division is shown: the divisor is x plus two,  and the dividend is x to the fourth power plus 0x to the thrid power minus x squared  plus 5x minus 6. The first step subtracts (x to the 4th power plus 2x to the thrid power), giving negative 2x to the third power minus x squared.

Step 3 - Divide 2 x 3 2 x 3 by x x .

Put the answer, 2 x 2 2 x 2 , in the quotient over the x 2 x 2 term.

Multiply 2 x 2 2 x 2 times x + 1 x + 1 . Line up the like terms.

Subtract and bring down the next term.

Long division of polynomials showing x cubed minus 2x squared) divided into (x to the 4th power plus zero x to the third power minus x squared  plus 5x minus 6, with intermediate steps and subtractions highlighted, and remainder 3x squared plus 5x at the bottom.

Step 4 - Divide 3 x 2 3 x 2 by x x .

Put the answer, 3 x 3 x , in the quotient over the x x term.

Multiply 3 x 3 x times x + 1 x + 1 .

Line up the like terms. Subtract and bring down the next term.

Long division of polynomials showing x cubed minus 2x squared) divided into (x to the 4th power plus zero x to the third power minus x squared  plus 5x minus 6 by x plus 2, with subtraction steps and remainders, some elements in red to highlight each step.

Step 5 - Divide x x by x x . Put the answer, 1 1 , in the quotient over the constant term.

Multiply 1 1 times x + 1 x + 1 . Line up the like terms.

Change the signs and then add.

Write the remainder as a fraction with the divisor as the denominator.

Long division of polynomials showing x cubed minus 2x squared) divided into (x to the 4th power plus zero x to the third power minus x squared  plus 5x minus 6 by x plus 2, with subtraction steps and remainders, some elements in red to highlight each step.

Step 6 - To check, multiply ( x + 2 ) ( x 3 2 x 2 + 3 x 1 4 x + 2 ) ( x + 2 ) ( x 3 2 x 2 + 3 x 1 4 x + 2 ) .

The result should be x 4 x 2 + 5 x 6 x 4 x 2 + 5 x 6 .

In the next Example, we will divide by 2 a + 3 2 a + 3 .

As we divide, we will have to consider the coefficients as well as the variables.

Example 3

Find the quotient: ( 8 a 3 + 27 ) ÷ ( 2 a + 3 ) ( 8 a 3 + 27 ) ÷ ( 2 a + 3 ) .

This time, we will show the division all in one step. We need to add two placeholders to divide.

Long division of polynomials showing x cubed minus 2x squared) divided into (x to the 4th power plus zero x to the third power minus x squared  plus 5x minus 6 by x plus 2, with subtraction steps and remainders. An arrow and expression 4a squared open parenthesis 2a plus 3 closed parenthesis are in red and point to the expression negative open parenthesis 8a cubed plus 12 a squared closed parenthesis to show how to factor out 4a squared. An arrow and expression 6a squared open parenthesis 2a plus 3 closed parenthesis are in red and point to the expression negative open parenthesis 12a squared minus 18a closed parenthesis to show how to factor out 6a. An arrow and expression 9 open parenthesis 2a plus 3 closed parenthesis are in red and point to the expression negative open parenthesis 18a +27Mclosed parenthesis to show how to factor out 9.

To check, multiply ( 2 a + 3 ) ( 4 a 2 6 a + 9 ) ( 2 a + 3 ) ( 4 a 2 6 a + 9 ) .

The result should be 8 a 3 + 27 8 a 3 + 27 .

Example 4

Find the quotient: ( 2 x + 14 ) ÷ ( x + 7 ) ( 2 x + 14 ) ÷ ( x + 7 ) . Can you see a quick way to solve this?

\begin{array}{r} 2\phantom{)} \\ x+7{\overline{\smash{\big)}\,2x+14}}\\ \underline{-~\phantom{(}(2x+14)}\\ 0\\ \end{array}

The answer is 2.

Try it

Dividing Polynomials Using Long Division

Find the quotients.

1. ( y 2 + 10 y + 21 ) ÷ ( y + 3 ) ( y 2 + 10 y + 21 ) ÷ ( y + 3 )

2. ( x 4 7 x 2 + 7 x + 6 ) ÷ ( x + 3 ) ( x 4 7 x 2 + 7 x + 6 ) ÷ ( x + 3 )

3. ( x 3 64 ) ÷ ( x 4 ) ( x 3 64 ) ÷ ( x 4 )

Citation/Attribution

This book may not be used in the training of large language models or otherwise be ingested into large language models or generative AI offerings without OpenStax's permission.

Want to cite, share, or modify this book? This book uses the Creative Commons Attribution-NonCommercial-ShareAlike License and you must attribute OpenStax.

Attribution information
  • If you are redistributing all or part of this book in a print format, then you must include on every physical page the following attribution:

    Access for free at https://openstax.org/books/algebra-1/pages/about-this-course

  • If you are redistributing all or part of this book in a digital format, then you must include on every digital page view the following attribution:

    Access for free at https://openstax.org/books/algebra-1/pages/about-this-course

Citation information

© Aug 26, 2025 OpenStax. Textbook content produced by OpenStax is licensed under a Creative Commons Attribution-NonCommercial-ShareAlike License . The OpenStax name, OpenStax logo, OpenStax book covers, OpenStax CNX name, and OpenStax CNX logo are not subject to the Creative Commons license and may not be reproduced without the prior and express written consent of Rice University.