Skip to ContentGo to accessibility pageKeyboard shortcuts menu
OpenStax Logo
Algebra 1

6.2.2 Multiplying Binomials

Algebra 16.2.2 Multiplying Binomials
Search for key terms or text.

6.2.2 • Multiplying Binomials

Activity

The binomials in the expression ( x 7 ) ( 2 x + 4 ) ( x 7 ) ( 2 x + 4 ) are solved three different ways in the table. Describe how the two binomials are being multiplied.

Solution Description of Solution.

( x 7 ) ( 2 x + 4 ) ( x 7 ) ( 2 x + 4 )

x ( 2 x + 4 ) 7 ( 2 x + 4 ) x ( 2 x + 4 ) 7 ( 2 x + 4 )

2 x 2 + 4 x 14 x 28 2 x 2 + 4 x 14 x 28

2 x 2 10 x 28 2 x 2 10 x 28

First, ______________________

Second, ___________________

Next, ___________________

So, the solution is 2 x 2 10 x 28 2 x 2 10 x 28 .

x 7 × 2 x   + 4 4 x 28 2 x 2 14 x 2 x 2 10 x 28 x 7 × 2 x   + 4 4 x 28 2 x 2 14 x 2 x 2 10 x 28

First, ______________________

Second, ___________________

Third, ____________________

Next, ___________________

So, the solution is 2 x 2 10 x 28 2 x 2 10 x 28 .

Image showing multiplication of the binomials, with an arrow going from x to 2x, an arrow going from x to 4, an arrow going from negative 7 to 2x, and an arrow going from negative 7 to 4.

2 x 2 + 4 x 14 x 28 2 x 2 + 4 x 14 x 28

2 x 2 10 x 28 2 x 2 10 x 28

First, ______________________

Second, ___________________

Third, ____________________

Next, ___________________

Combine like terms, and the solution is  2 x 2 10 x 28 2 x 2 10 x 28 .

The video below can also help break down solutions if you find yourself stuck.

Multiply each binomial.

1. ( a + 6 ) ( a 4 ) ( a + 6 ) ( a 4 )

2. ( 5 b + 9 ) ( 4 b + 3 ) ( 5 b + 9 ) ( 4 b + 3 )

3. ( 5 x 2 1 ) ( 2 x 8 ) ( 5 x 2 1 ) ( 2 x 8 )

4. ( 7 m n + 1 ) ( 11 m n 3 ) ( 7 m n + 1 ) ( 11 m n 3 )

Are you ready for more?

Extending Your Thinking

Multiply each binomial. Add like terms to simplify the expression.

( 5 x 2 y x y ) ( 3 x + y ) + ( 6 x + 4 y ) ( 3 x 2 y + 2 x y ) ( 5 x 2 y x y ) ( 3 x + y ) + ( 6 x + 4 y ) ( 3 x 2 y + 2 x y )

Self Check

Multiply the binomials.

( 5 y + 2 ) ( 6 y 3 )

  1. 30 y 2 + 3 y + 6
  2. 30 y 2 27 y 6
  3. 27 y 6
  4. 30 y 2 3 y 6

Additional Resources

Multiplying Binomials Using the Distributive Property

Just like there are different ways to represent multiplication of numbers, there are several different ways to represent how to multiply a binomial times a binomial using the Distributive Property of Multiplication over Addition.

Distribute to multiply the binomials.

Example 1

( y + 5 ) ( y + 8 ) ( y + 5 ) ( y + 8 )

Step 1 - Distribute the binomial ( y + 8 ) ( y + 8 ) .

Two binomials, (y + 5) and (y + 8), with red arrows indicating distribution from each y in the parentheses, and a red bracket grouping both terms.

y ( y + 8 ) + 5 ( y + 8 ) y ( y + 8 ) + 5 ( y + 8 )

Step 2 - Now, distribute the individual terms.

y 2 + 8 y + 5 y + 40 y 2 + 8 y + 5 y + 40

Step 3 - Combine like terms.

y 2 + 13 y + 40 y 2 + 13 y + 40

Example 2

( 4 y 2 + 3 ) ( 2 y 2 5 ) ( 4 y 2 + 3 ) ( 2 y 2 5 )

Step 1 - Distribute the binomial ( 2 y 2 5 ) ( 2 y 2 5 ) .

4 y 2 ( 2 y 2 5 ) + 3 ( 2 y 2 5 ) 4 y 2 ( 2 y 2 5 ) + 3 ( 2 y 2 5 )

Step 2 - Distribute the individual terms.

8 y 2 20 y 2 + 6 y 2 15 8 y 2 20 y 2 + 6 y 2 15

Step 3 - Combine like terms.

8 y 4 14 y 2 15 8 y 4 14 y 2 15

Multiplying Binomials Using the FOIL Method

If you multiply binomials often enough, you may notice a pattern. Notice that the first term in the result is the product of the first terms in each binomial. The second and third terms are the product of multiplying the two outer terms and then the two inner terms. And the last term results from multiplying the two last terms.

We abbreviate “First, Outer, Inner, Last” as FOIL. The letters stand for “First, Outer, Inner, Last.” We use this as another way to multiply binomials. The word FOIL is easy to remember and ensures we find all four products.

Let’s multiply ( x + 3 ) ( x + 7 ) ( x + 3 ) ( x + 7 ) using both methods.

A comparison of the distributive property and FOIL method to multiply (x + 3)(x + 7), showing step-by-step expansion and simplification to get x squared plus 10x plus 21. Arrows illustrate FOILs steps.

We summarize the steps of the FOIL method below. The FOIL method only applies to multiplying binomials, not other polynomials!

How to use the FOIL method to multiply two binomials:

Step 1 - Multiply the First terms.

Step 2 - Multiply the Outer terms.

Step 3 - Multiply the Inner terms.

Step 4 - Multiply the Last terms.

Step 5 - Combine like terms, when possible.

An algebraic expression (a + b)(c + d) is labeled to show the FOIL method: First, Outer, Inner, Last, with a note to Say it as you multiply! FOIL: First, Outer, Inner, Last.

When you multiply by the FOIL method, drawing the arrows will help your brain focus on the pattern and make it easier to apply.

Now we will review examples where we use the FOIL pattern to multiply two binomials.

Multiply the binomials using the FOIL method.

Example 3

( y 7 ) ( y + 4 ) ( y 7 ) ( y + 4 )

Step 1 - Multiply the F i r s t F i r s t terms.

An equation showing (y -7)(y + 4) with an arrow pointing each y and a partially filled expansion: y² + _ + _ + _, labeled with F, O, I, L underneath the blanks.

Step 2 - Multiply the O u t e r O u t e r terms.

An equation showing (y -7)(y + 4) with arrows pointing each y, the y and the 4, and a partially filled expansion: y² + 4y + _ + _, labeled with F, O, I, L underneath the blanks.

Step 3 - Multiply the I n n e r I n n e r terms.

An equation showing (y -7)(y + 4) with arrows pointing each y, the y and the 7, and a partially filled expansion: y² + 4y - 7y + _, labeled with F, O, I, L underneath the blanks.

Step 4 - Multiply the L a s t L a s t terms.

An equation showing (y -7)(y + 4) with arrows pointing each y, the -7 and the 4, and a filled expansion: y² + 4y - 7y -28, labeled with F, O, I, L underneath the blanks.

Step 5 - Combine like terms.

y 2 3 y 28 y 2 3 y 28

Example 4

( 4 x + 3 ) ( 2 x 5 ) ( 4 x + 3 ) ( 2 x 5 )

The image shows the expression (4x + 3)(2x - 5) with four curved arrows illustrating the FOIL method for multiplying binomials: first, outer, inner, and last terms.

Step 1 - Multiply the First terms, 4 x · 2 x 4 x · 2 x .

The image shows 8x² in orange followed by three blank spaces separated by plus signs. Below the blanks are the letters F, O, I, and L, corresponding to the FOIL multiplication method.

Step 2 - Multiply the Outer terms, 4 x · ( 5 ) 4 x · ( 5 ) .

Equation reads 8x squared minus 20x plus blank plus blank, with the letters F, O, I, L written below the blanks, suggesting use of the FOIL method for factoring.

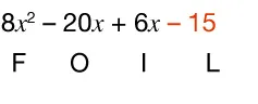
Step 3 - Multiply the Inner terms, 3 · 2 x 3 · 2 x .

The expression 8x² - 20x + 6x + _ is shown, with 6x in orange. Below are the letters F, O, I, L spaced apart.

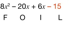
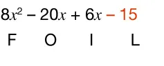
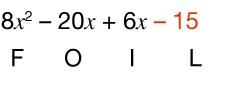
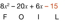
Step 4 - Multiply the Last terms, 3 · ( 5 ) 3 · ( 5 ) .

The quadratic expression 8x² - 20x + 6x - 15 with the term - 15 in orange. Below, the letters F, O, I, and L are spaced apart in black under the expression.

Step 5 - Combine like terms.

8 x 2 14 x 15 8 x 2 14 x 15

The FOIL method is usually the quickest method for multiplying two binomials, but it only works for binomials. You can use the Distributive Property to find the product of any two polynomials.

Multiplying Binomials Using Vertical Alignment

Another representation that works for all polynomials is Vertical Alignment. It is much like the method you use to multiply whole numbers. Look carefully at this example of multiplying two-digit numbers.

23 × 46 138 p a r t i a l p r o d u c t 920 p a r t i a l p r o d u c t 1058 p r o d u c t 23 × 46 138 p a r t i a l p r o d u c t 920 p a r t i a l p r o d u c t 1058 p r o d u c t

Start by multiplying 23 by 6 to get 138.

Next, multiply 23 by 4, lining up the partial product in the correct columns.

Use a 0 as a place holder in the ones column because you will be multiplying by 4 tens.

Finally, add the partial products.

Example 5

Multiply using Vertical Alignment: ( 3 y 1 ) ( 2 y 6 ) ( 3 y 1 ) ( 2 y 6 ) . It does not matter which binomial goes on the top.

Step 1 - Multiply 3 y 1 3 y 1 by 6 6 .

Step 2 - Multiply 3 y 1 3 y 1 by 2 y 2 y .

Step 3 - Add like terms.

Notice the partial products are the same as the terms in the FOIL method.

( 3 y 1 ) × ( 2 y 6 ) 1 8 y + 6 6 y 2 2 y 6 y 2 20 y + 6 ( 3 y 1 ) × ( 2 y 6 ) 1 8 y + 6 6 y 2 2 y 6 y 2 20 y + 6

We have now used three ways to multiply binomials. Be sure to practice each process, and try to decide which one you prefer.

Try it

Multiplying Binomials

In questions 1 – 2, multiply the binomials using any of the methods described.

1. ( x + 8 ) ( x + 9 ) ( x + 8 ) ( x + 9 )

2. ( 3 c 2 + 4 ) ( 5 c 2 ) ( 3 c 2 + 4 ) ( 5 c 2 )

Citation/Attribution

This book may not be used in the training of large language models or otherwise be ingested into large language models or generative AI offerings without OpenStax's permission.

Want to cite, share, or modify this book? This book uses the Creative Commons Attribution-NonCommercial-ShareAlike License and you must attribute OpenStax.

Attribution information
  • If you are redistributing all or part of this book in a print format, then you must include on every physical page the following attribution:

    Access for free at https://openstax.org/books/algebra-1/pages/about-this-course

  • If you are redistributing all or part of this book in a digital format, then you must include on every digital page view the following attribution:

    Access for free at https://openstax.org/books/algebra-1/pages/about-this-course

Citation information

© Aug 26, 2025 OpenStax. Textbook content produced by OpenStax is licensed under a Creative Commons Attribution-NonCommercial-ShareAlike License . The OpenStax name, OpenStax logo, OpenStax book covers, OpenStax CNX name, and OpenStax CNX logo are not subject to the Creative Commons license and may not be reproduced without the prior and express written consent of Rice University.