Skip to ContentGo to accessibility pageKeyboard shortcuts menu
OpenStax Logo
Algebra 1

5.7.5 Practice

Algebra 15.7.5 Practice
Search for key terms or text.

5.7.5 • Practice

Complete the following questions to practice the skills you have learned in this lesson.

For questions 1 – 2, use the following scenario:
The two graphs show models characterized by exponential decay representing the area covered by two different algae blooms, in square yards, w weeks after different chemicals were applied.

Graph of two functions on grid.

  1. Which algae bloom covered a larger area when the chemicals were applied?
  1. The algae bloom represented by the circles because the curve is always below the other one on the graph.
  2. Both algae blooms covered the same area after 5 weeks.
  3. The algae bloom represented by the circles because the curve has a lower y -intercept.
  4. The algae bloom represented by the triangles because the curve has a higher y -intercept.
  1. Which algae population is decreasing more rapidly? Explain how you know.
  1. The algae bloom represented by the triangles because its graph is steeper.
  2. The algae bloom represented by the circles because the curve is always below the other one on the graph.
  3. Both algae blooms are decreasing at the same rate.
  4. The algae bloom represented by the triangles because the curve has a higher y -intercept.
For questions 3 – 5, use the following scenario:
A medicine is applied to a burn on a patient’s arm. The area of the burn in square centimeters decreases exponentially and is shown in the graph.

Graph of a function on grid.

  1. What fraction of the burn area remains each week?
  1. 2 3 or 0.66
  2. 1 4 or 0.25
  3. 3 4 or 0.75
  4. 1 2 or 0.5
  1. Which of the following is an equation representing the area of the burn, a , after t weeks?
  1. a = 6 5 t + 8
  2. a = 2 t + 8
  3. a = 8 ( 3 4 ) t
  4. a = 8 ( 1 4 ) t
  1. What is the area of the burn after 7 weeks? Round to three decimal places.
  1. The graphs show the amounts of medicine in two patients after receiving injections. The circles show the medicine in patient A, and the triangles show the medicine in patient B.

    Two functions plotted on the same grid.

    One equation that gives the amount of medicine in milligrams, m , in patient A, h hours after an injection, is m = 300 ( 1 2 ) h .

    What could be an equation for the amount of medicine in patient B?

  1. m = 200 ( 7 10 ) h
  2. m = 200 ( 3 10 ) h
  3. m = 500 ( 7 10 ) h
  4. m = 500 ( 3 10 ) h
  1. Which scenario could describe the graph?


    GRAPH OF AN INCREASING EXPONENTIAL FUNCTION WITH A \(y\)-intercepts OF 10 AND PASSING THROUGH THE POINTS (1, 20) AND (2, 40).;

  1. A population of bacteria starts with 200 and decays by a factor of 1 2 every hour.
  2. A population of bacteria increases by a factor of 10 every hour and starts with 2 bacteria.
  3. A savings account starts with $200 and decays by a factor of 1 2 each month.
  4. A population of bacteria doubles every hour and starts with 10 bacteria.
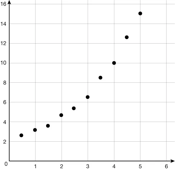
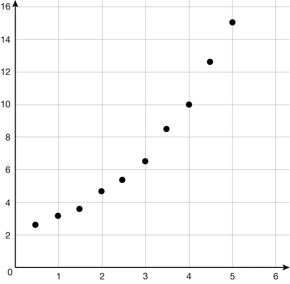
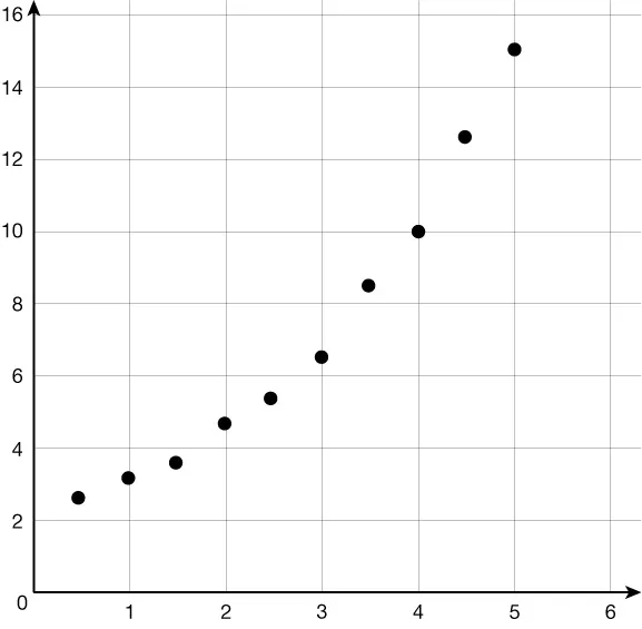
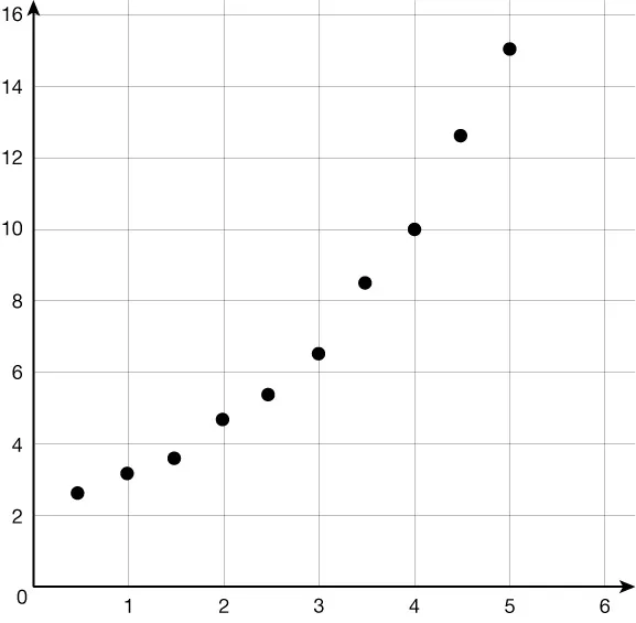
  1. Which equation could represent the graph?


    SCATTER PLOT THAT CAN BE MODELED BY AN INCREASING EXPONENTIAL FUNCTION WITH A \(y\)-intercepts THAT IS SLIGHTLY MORE THAN 2. THE SCATTER PLOT INCLUDES A POINT WITH AN X-VALUE OF 1 AND A Y-VALUE OF APPROXIMATELY 3-POINT-1, A POINT WITH AN X-VALUE OF 2 AND A Y-VALUE OF APPROXIMATELY 4-POINT-6, AND A POINT WITH AN X-VALUE OF 3 AND A Y-VALUE OF APPROXIMATELY 6-POINT-8.;

  1. y = 0.479 ( 2.104 ) x
  2. y = 2.104 ( 0.479 ) x
  3. y = 2.5 x + 2
  4. y = 2.104 ( 1.479 ) x
  1. Given a formula for an exponential function, is it possible to determine whether the function grows or decays exponentially just by looking at the formula? Explain.
  1. No, it is not possible to determine growth and decay from the formula.
  2. Yes, if the growth rate is greater than one it’s growth; if the growth rate is, less than zero it’s decay.
  3. Yes, if the growth rate is between zero and one it’s decay; if the growth rate is greater than one it is growth.
  4. Yes, if the initial value is greater than one it’s growth; if the initial value is less than one it’s decay.
Citation/Attribution

This book may not be used in the training of large language models or otherwise be ingested into large language models or generative AI offerings without OpenStax's permission.

Want to cite, share, or modify this book? This book uses the Creative Commons Attribution-NonCommercial-ShareAlike License and you must attribute OpenStax.

Attribution information
  • If you are redistributing all or part of this book in a print format, then you must include on every physical page the following attribution:

    Access for free at https://openstax.org/books/algebra-1/pages/about-this-course

  • If you are redistributing all or part of this book in a digital format, then you must include on every digital page view the following attribution:

    Access for free at https://openstax.org/books/algebra-1/pages/about-this-course

Citation information

© Aug 26, 2025 OpenStax. Textbook content produced by OpenStax is licensed under a Creative Commons Attribution-NonCommercial-ShareAlike License . The OpenStax name, OpenStax logo, OpenStax book covers, OpenStax CNX name, and OpenStax CNX logo are not subject to the Creative Commons license and may not be reproduced without the prior and express written consent of Rice University.