5.12.5 • Practice
Complete the following questions to practice the skills you have learned in this lesson.
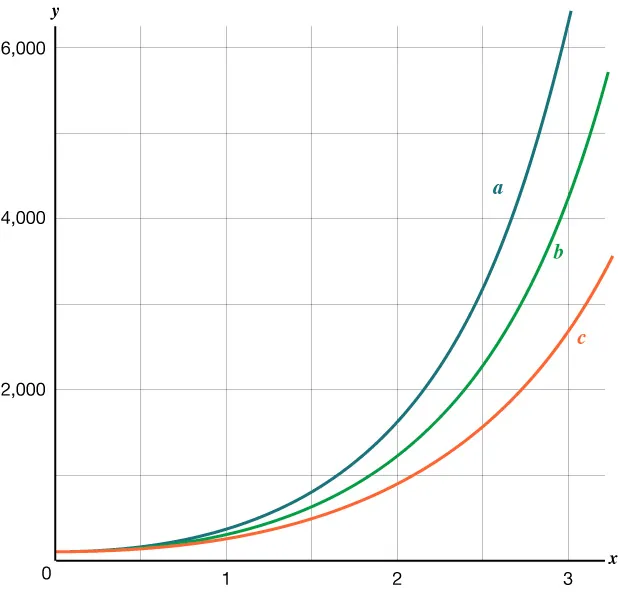
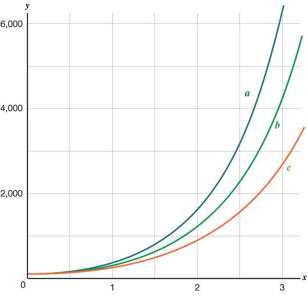
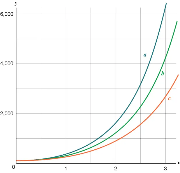
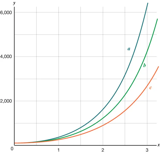
For questions 1 - 5, use the the three exponential functions defined below:
- Which of these functions grows the least quickly?
- Which function grows the most quickly?
The three given graphs represent the functions , , and defined above.
- Which graph corresponds to ?
-
Graph A
-
Graph B
-
Graph C
- Which graph corresponds to ?
-
Graph A
-
Graph B
-
Graph C
- Which graph corresponds to ?
-
Graph A
-
Graph B
-
Graph C
For questions 6 - 8, use the given graphs of three exponential equations.

- Which graph matches the equation
-
Graph K
-
Graph L
-
Graph M
- Which graph matches the equation
-
Graph K
-
Graph L
-
Graph M
- Which graph matches the equation
-
Graph K
-
Graph L
-
Graph M
For questions 9 - 10, use the graph below.
;
- Written in the form , what is the value of for each function?
- Which graph decreases the most quickly?
-
Graph A
-
Graph B
-
Graph C
The graphs of , , and are shown.
- Which is the graph of ?
-
Graph A
-
Graph B
-
Graph C
For questions 12 – 14, use the graph below:
- Which of the functions graphed, , has the smallest value for ?
-
A
-
B
-
C
-
D
-
E
-
F
- Which of the functions graphed, , has the lowest value for ?
-
A
-
B
-
C
-
D
-
E
-
F
- What is the equation of the horizontal asymptote for ?