Skip to ContentGo to accessibility pageKeyboard shortcuts menu
OpenStax Logo
Algebra 1

4.17.5 Practice

Algebra 14.17.5 Practice
Search for key terms or text.

4.17.5 • Practice

Complete the following questions to practice the skills you have learned in this lesson.

For questions 1 – 3, match each sequence with one of the definitions. Note that only the part of the definition showing the relationship between the current term and the previous term is given so as not to give away the solutions.

  1. 6, 12, 18, 24
  1. d ( n ) = d ( n 1 ) + 20
  2. c ( n ) = c ( n 1 ) + 6
  3. b ( n ) = 1 2 b ( n 1 )
  4. a ( n ) = 7 a ( n 1 )
  1. 2, 14, 98, 686
  1. d ( n ) = d ( n 1 ) + 20
  2. c ( n ) = c ( n 1 ) + 6
  3. b ( n ) = 1 2 b ( n 1 )
  4. a ( n ) = 7 a ( n 1 )
  1. 160, 80, 40, 20
  1. d ( n ) = d ( n 1 ) + 20
  2. c ( n ) = c ( n 1 ) + 6
  3. b ( n ) = 1 2 b ( n 1 )
  4. a ( n ) = 7 a ( n 1 )
For questions 4 – 5, select the first five terms of each sequence. Determine whether each sequence is arithmetic, geometric, or neither.
  1. a ( 1 ) = 7 , a ( n ) = a ( n 1 ) 3 for n 2 .
  1. 7, 4, 1, –2, –5, arithmetic
  2. 7, –21, 63, –189, arithmetic
  3. 7, –21, 63, –189, geometric
  4. 7, 4, 1, –2, –5, geometric
  1. c ( 1 ) = 3 , c ( n ) = 10 c ( n 1 ) for n 2 .
  1. 3, 13, 23, 33, 43, arithmetic
  2. 3, 13, 23, 33, 43, geometric
  3. 3, 30, 300, 3000, 30000, geometric
  4. 3, 30, 300, 3000, 30000, arithmetic
For questions 6 – 8, match each sequence with one of the recursive definitions. Note that only the part of the definition showing the relationship between the current term and the previous term is given so as not to give away the solutions.
  1. 3, 15, 75, 375
  1. d ( n ) = d ( n 1 ) + n 1
  2. c ( n ) = 5 c ( n 1 )
  3. b ( n ) = b ( n 1 ) 4
  4. a ( n ) = 1 3 a ( n 1 )
  1. 18, 6, 2, 2 3
  1. d ( n ) = d ( n 1 ) + n 1
  2. c ( n ) = 5 c ( n 1 )
  3. b ( n ) = b ( n 1 ) 4
  4. a ( n ) = 1 3 a ( n 1 )
  1. 17, 13, 9, 5
  1. d ( n ) = d ( n 1 ) + n 1
  2. c ( n ) = 5 c ( n 1 )
  3. b ( n ) = b ( n 1 ) 4
  4. a ( n ) = 1 3 a ( n 1 )
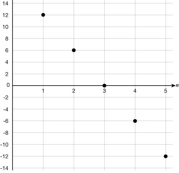
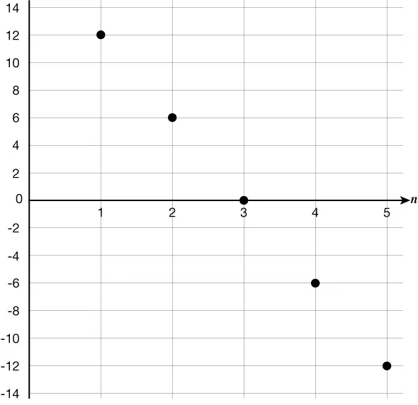
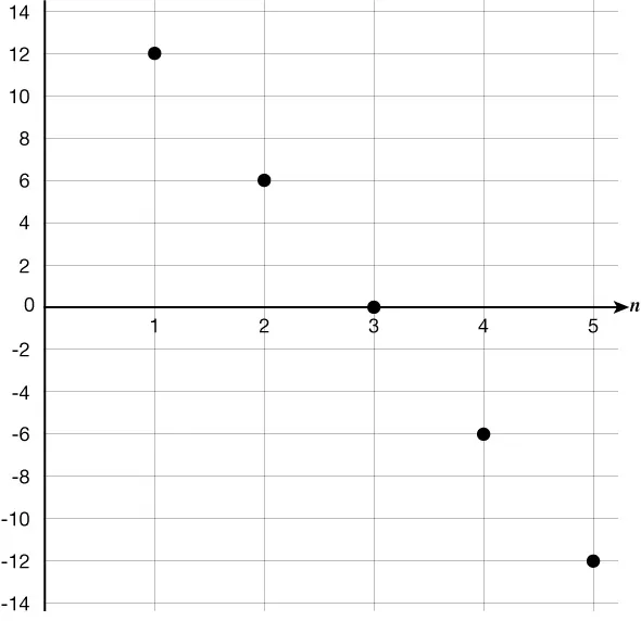
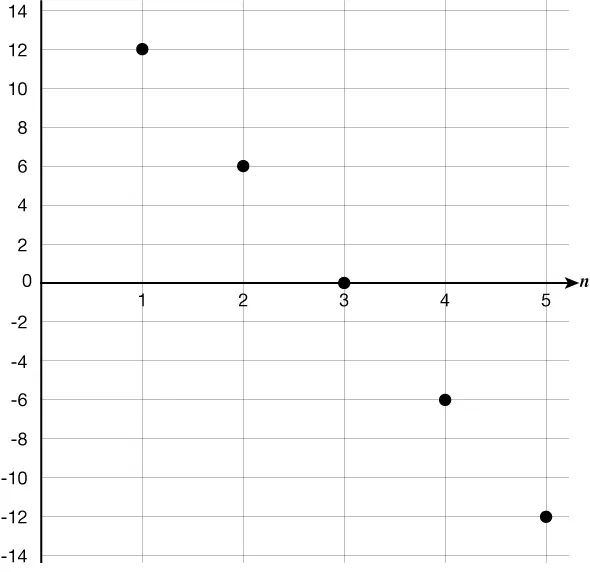
  1. An arithmetic sequence k starts 12, 6, . . . and is represented by the graph below.

Which of the following is a recursive definition for sequence k when n 2 ?

  1. k ( 1 ) = 12 , 6 k ( n ) = k ( n 1 )
  2. k ( 1 ) = 12 , k ( n ) = k ( n 1 ) + 6
  3. k ( 1 ) = 12 , k ( n ) = k ( n 1 ) 6
  4. k ( 1 ) = 12 , k ( n ) = k ( n ) 6
Citation/Attribution

This book may not be used in the training of large language models or otherwise be ingested into large language models or generative AI offerings without OpenStax's permission.

Want to cite, share, or modify this book? This book uses the Creative Commons Attribution-NonCommercial-ShareAlike License and you must attribute OpenStax.

Attribution information
  • If you are redistributing all or part of this book in a print format, then you must include on every physical page the following attribution:

    Access for free at https://openstax.org/books/algebra-1/pages/about-this-course

  • If you are redistributing all or part of this book in a digital format, then you must include on every digital page view the following attribution:

    Access for free at https://openstax.org/books/algebra-1/pages/about-this-course

Citation information

© Aug 26, 2025 OpenStax. Textbook content produced by OpenStax is licensed under a Creative Commons Attribution-NonCommercial-ShareAlike License . The OpenStax name, OpenStax logo, OpenStax book covers, OpenStax CNX name, and OpenStax CNX logo are not subject to the Creative Commons license and may not be reproduced without the prior and express written consent of Rice University.