Skip to ContentGo to accessibility pageKeyboard shortcuts menu
OpenStax Logo
Algebra 1

3.1.6 Practice

Algebra 13.1.6 Practice
Search for key terms or text.

3.1.6 • Practice

Complete the following questions to practice the skills you have learned in this lesson.

  1.  The scatter plot shows the number of times a player came to bat and the number of hits they had.
    A scatter plot. Horizontal, 0 to 600, by 50’s, labeled at bats. Vertical, 0 to 150, by 12 point 5’s, labeled hits. 19 dots trend linearly up and to the right.

The scatter plot includes a point at ( 318 , 80 ) . Describe the meaning of this point in this situation.

  1. For every 80 at bats, there are 318 hits.
  2. For every 318 at bats, there are 80 hits.
For questions 2–5, use the following to answer each question.

The scatter plot shows the number of minutes people had to wait for service at a restaurant and the number of waitstaff available at the time.

A scatter plot. Horizontal, 0 to 9, by point 5’s, labeled staff. Vertical, 0 to 13, by point 5’s, labeled wait time. 10 dots trend linearly down and to the right.

A line that models the data is given by the equation y = 1.62 x + 18 , where y represents the wait time, and x represents the number of waitstaff available.

  1. The slope of the line is 1.62 . What does this mean in this situation?
  1. When there are 18 staff people, there is no wait time
  2. When there are 0 staff people, the wait time is 18 minutes
  3. For every wait time increase of 1 minute the staff people increase by 1.62
  4. For every increase of 1 staff person, the wait time decreases 1.62 minutes
  1. The slope of the line is 1.62 . Is it realistic to conclude, for this slope, as x increases, y will decrease?
  1. Yes
  2. No
  1. The y -intercept is ( 0 , 18 ) . What does this mean in this situation?
  1. When there are 18 staff people, there is no wait time
  2. When there are 0 staff people, the wait time is 18 minutes
  3. For every wait time increase of 1 minute the staff people increase by 1.62
  4. For every increase of 1 staff person, the wait time decreases 1.62 minutes
  1. The y -intercept is ( 0 , 18 ) . Is this a realistic y -intercept point if y represents the wait time and x represents the number of staff available?
  1. Yes
  2. No
  1. The company’s pricing plan states that the usage rate is constant for any number of minutes connected to the Internet. The number of minutes is related to the cost in dollars and has a linear relationship. The equation of the line is y = 0.03 x + 0.10 . What does the slope represent in this situation?

A SCATTER PLOT THAT SHOWS NUMBER OF MINUTES ON THE X-AXIS AND TOTAL SESSION COST IN DOLLARS ON THE Y-AXIS. THE LINE DRAWN THROUGH THE POINTS INCREASES FROM LEFT TO RIGHT.

  1. For every 3 minutes of internet usage, the price increases 1 cent.
  2. For every minute of internet usage, the price increases 3 cents.
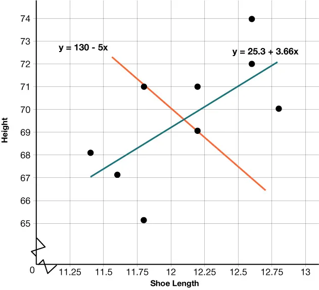
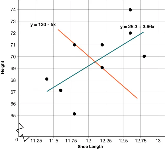
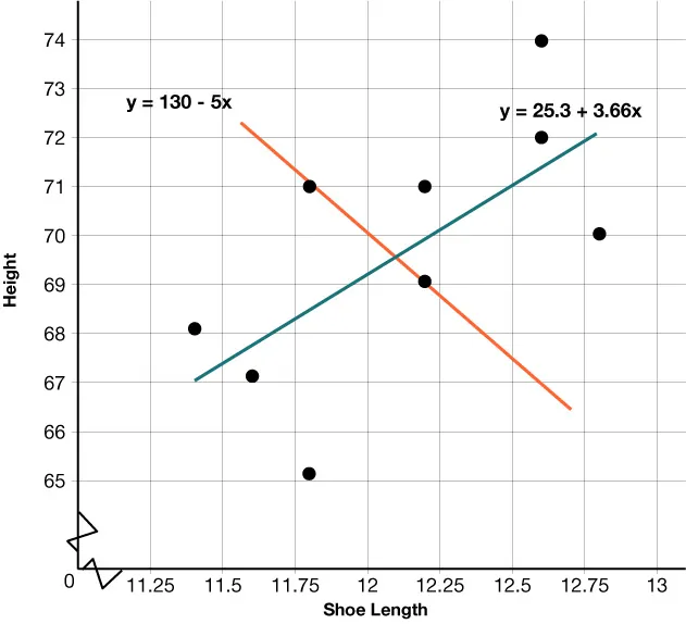
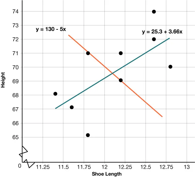
  1. Below is a scatter plot of the data with two linear models, y = 130 5 x and y = 25.3 + 3.66 x . Which of these two models does a better job of describing how shoe length x and height y (in inches) are related?

A SCATTER PLOT THAT SHOWS SHOE LENGTH ON THE X-AXIS AND HEIGHT ON THE Y-AXIS. TWO DIFFERENT LINEAR MODELS ARE SHOWN, ONE WITH A POSITIVE SLOPE AND ONE WITH A NEGATIVE SLOPE.

  1. y = 130 5 x
  2. y = 25.3 + 3.66 x
  1. The scatter plot below displays the elevation and median number of clear days per year of 14 U.S. cities. Two lines are shown on the scatter plot. Which line fits the data better?

A SCATTER PLOT THAT SHOWS ELEVATION ABOVE SEA LEVEL IN FEET ON THE X-AXIS AND MEAN NUMBER OF CLEAR DAYS ON THE Y-AXIS. TWO LINES OF FIT ARE SHOWN.

  1. Line 1
  2. Line 2
  1. According to the scatter plot below, what claim can be made about women’s shoe length and height?
A SCATTER PLOT THAT SHOWS SHOE LENGTH IN INCHES ON THE X-AXIS AND HEIGHT IN INCHES ON THE Y-AXIS.
  1. As a woman’s shoe length increases, their height also tends to increase.
  2. As a woman’s shoe length increases, their height decreases.

For questions 10 – 12, use the scatter plot below.

This scatter plot shows foal birth weight and mare’s weight.

A SCATTER PLOT THAT SHOWS MARE WEIGHT IN KILOGRAMS ON THE X-AXIS AND FOAL WEIGHT IN KILOGRAMS ON THE Y-AXIS.


  1. What does the slope mean of a linear model on this scatter plot?
  1. the increases in mare weight in kg for each kg increase in foal weight
  2. the increases in foal weight in kg for each kg increase in mare weight
  1. Will the y -intercept of a linear model make sense in this problem?
  1. Yes
  2. No
  1. What does the point ( 548 , 108 ) mean in this problem?
  1. A mare weighing 108 kg has a foal weighing 548 g.
  2. A mare weighing 548 kg has a foal weighing 108 kg.
Citation/Attribution

This book may not be used in the training of large language models or otherwise be ingested into large language models or generative AI offerings without OpenStax's permission.

Want to cite, share, or modify this book? This book uses the Creative Commons Attribution-NonCommercial-ShareAlike License and you must attribute OpenStax.

Attribution information
  • If you are redistributing all or part of this book in a print format, then you must include on every physical page the following attribution:

    Access for free at https://openstax.org/books/algebra-1/pages/about-this-course

  • If you are redistributing all or part of this book in a digital format, then you must include on every digital page view the following attribution:

    Access for free at https://openstax.org/books/algebra-1/pages/about-this-course

Citation information

© Aug 26, 2025 OpenStax. Textbook content produced by OpenStax is licensed under a Creative Commons Attribution-NonCommercial-ShareAlike License . The OpenStax name, OpenStax logo, OpenStax book covers, OpenStax CNX name, and OpenStax CNX logo are not subject to the Creative Commons license and may not be reproduced without the prior and express written consent of Rice University.