Skip to ContentGo to accessibility pageKeyboard shortcuts menu
OpenStax Logo
Algebra 1

2.2.5 Practice

Algebra 12.2.5 Practice
Search for key terms or text.

2.2.5 • Practice

Complete the following questions to practice the skills you have learned in this lesson.

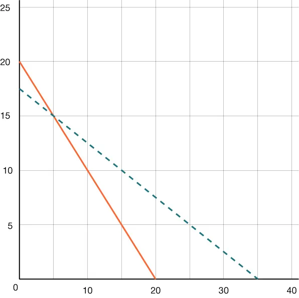
  1. Which of the following points is the solution to the system of equations that is graphed?
  1. ( 5 , 15 )
  2. 45 , 0 )
  3. ( 0 , 20 )
  4. ( 20 , 0 )
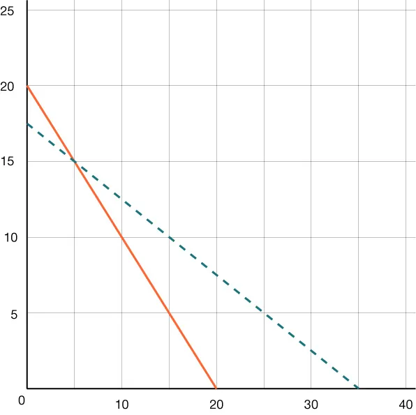
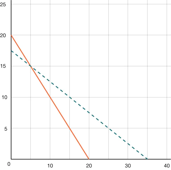
  1. Which of the following points is the solution to the system of equations that is graphed?
  1. ( 5.2 , 0 )
  2. ( 8 , 0 )
  3. ( 2 , 5 )
  4. ( 5 , 2 )
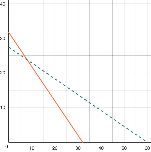
  1. What two equations are represented by the graph? Select two.
  1. y = 1 2 x 1
  2. y = 4 x 2
  3. y = 1 4 x + 2
  4. y = 1 2 x + 1
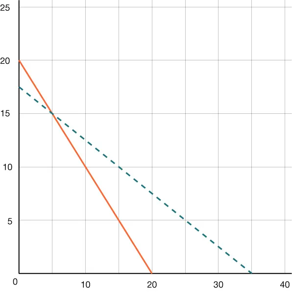
  1. What two equations are represented by the graph? Select two.
  1. y = x 1
  2. y = x + 1
  3. y = 1 3 x + 2
  4. y = 3 x 2

For questions 5 – 8, use the following scenario and matching table.

A streaming service has two different membership plans. Option A charges $10 per month plus $5 for each movie. Option B charges $20 a month then $2 a movie.

Number of movies in a month, x

0

1

2

3

4

Option A

10

15

20

25

30

Option B

20

22

24

26

28


  1. What is the y -intercept for Option A and Option B?
  1. Option A: 2 Option B: 5
  2. Option A: 5 Option B: 2
  3. Option A: 20 Option B: 10
  4. Option A: 10 Option B: 20
  1. What is the slope of Option A and Option B?
  1. Option A: m = 5 Option B: m = 2
  2. Option A: m = 1 2 Option B: m = 1 5
  3. Option A: m = 2 Option B: m = 5
  4. Option A: 52 x = 9 Option B: m = 1 2
  1. What is the equation of Option A?
  1. y = 10 x 5
  2. y = 5 x + 10
  3. y = 5 x 10
  4. y = 10 x + 5
  1. What is the equation of Option B?
  1. y = 2 x + 10
  2. y = 5 x + 10
  3. y = 2 x + 20
  4. y = 5 x + 20

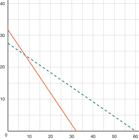
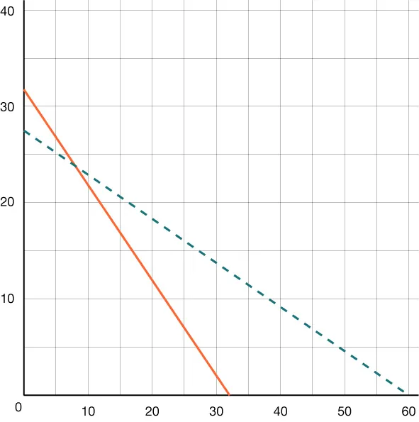
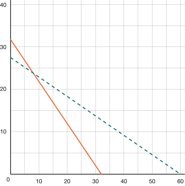
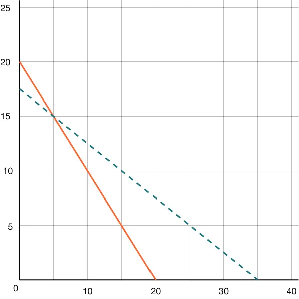
For questions 9 - 12, use the following situation and graph.

A family buys a total of 32 tickets at a carnival. Ride tickets cost $1.50 each and food tickets cost $3.25 each. The family pays a total of $90 for the tickets. The situation is graphed below.

The x -axis represents the number of ride tickets and the y -axis represents the number of food tickets.


  1. Which line depicts the equation that represents the statement “A family buys a total of 32 tickets at a carnival”?
  1. The blue, dashed line
  2. The orange, solid line

  1. The remaining line represents the statements “Ride tickets cost $1.50 each and food tickets cost $3.25 each. The family pays a total of $90 for the tickets.” Which equation corresponds to these statements and the remaining line?
  1. ( 1.50 + 3.25 ) y = 90 x
  2. ( 1.50 + 3.25 ) x = 90 y
  3. 3.25 x + 1.50 y = 90
  4. 1.50 x + 3.25 y = 90

  1. What is the approximate number of ride tickets the family purchased?
  1. 24
  2. 8
  3. 60
  4. 32

  1. What is the approximate number of food tickets the family purchased?
  1. 24
  2. 8
  3. 60
  4. 32
Citation/Attribution

This book may not be used in the training of large language models or otherwise be ingested into large language models or generative AI offerings without OpenStax's permission.

Want to cite, share, or modify this book? This book uses the Creative Commons Attribution-NonCommercial-ShareAlike License and you must attribute OpenStax.

Attribution information
  • If you are redistributing all or part of this book in a print format, then you must include on every physical page the following attribution:

    Access for free at https://openstax.org/books/algebra-1/pages/about-this-course

  • If you are redistributing all or part of this book in a digital format, then you must include on every digital page view the following attribution:

    Access for free at https://openstax.org/books/algebra-1/pages/about-this-course

Citation information

© Aug 26, 2025 OpenStax. Textbook content produced by OpenStax is licensed under a Creative Commons Attribution-NonCommercial-ShareAlike License . The OpenStax name, OpenStax logo, OpenStax book covers, OpenStax CNX name, and OpenStax CNX logo are not subject to the Creative Commons license and may not be reproduced without the prior and express written consent of Rice University.